aUnit of Pediatric Pneumology and Allergy, Service of Pediatrics, Hospital de Sagunto, Valencia, Spain
bService of Pediatrics, Hospital de Sagunto, Valencia, Spain
cService of Pediatrics, Hospital Universitari i Politècnic La Fe, Valencia, Spain
Background: We investigated the relationship between maternal smoking in pregnancy and health care problems in the offspring during the first year of life, particularly asthma.
Material and Methods: A cohort of 648 consecutive infants born at term and alive at Hospital de Sagunto (Valencia, Spain) over one year period was followed for 12 months. Clinical data of the infants were prospectively collected from the database of ambulatory medical records (ABUCASIS) of the Valencia health system.
Results: Smoking during pregnancy was recorded in 164 (25.3%) mothers. During the first year of life, asthma was diagnosed in 101 infants, with an incidence of 15.7%. The diagnoses of asthma (25.6% vs. 12.3%; P < 0.0001) and bronchiolitis (44.5% vs. 28.6%; P = 0.0002) during the first year of life were more common among infants in the smoking group. The probability of developing asthma during the first year of life was two-fold higher for the male gender and 2.5 times higher when mothers smoked while pregnant. Up to 52% of asthma cases could have been avoided in infants born to smoking mothers if they did not smoke during pregnancy. Infants in the smoking group showed a lower weight and length at birth than infants in the nonsmoking group differences almost disappeared at 6 months and 12 months.
Conclusion: Asthma during the first year of life showed a clear relationship with maternal smoking in pregnancy. Pregnant women should be advised of the significant perinatal risk for respiratory diseases associated with tobacco use.
Key words: smoking, pregnancy, asthma, bronchiolitis, atopic dermatitis, food allergy, birth weight
*Corresponding author: Cristina Rivas-Juesas, Unit of Pediatric Pneumology and Allergy, Hospital de Sagunto, Avenida Ramón y Cajal s/n, E-46520 Sagunto, Valencia, Spain. E-mail address: [email protected]
Received 5 May 2021; Accepted 16 June 2021; Available online 1 September 2021
Copyright: Rivas-Juesas C, et al.
This open access article is licensed under Creative Commons Attribution 4.0 International (CC BY 4.0). http://creativecommons.org/licenses/by/4.0/
Smoking during pregnancy has been largely recognized as one of the most important preventable risk factors for adverse fetal and birth outcomes including miscarriage, preterm delivery, low birth weight, poor intrauterine growth, and sudden infant death.1–3 In addition to its direct effect on peri-natal outcomes, smoking during pregnancy also predisposes the offspring to neurodevelopment deficits, such as behavioral and cognitive disorders, obesity and related comorbidi-ties, impaired cardiovascular health, reduced lung function, and respiratory diseases.4–9 Although there is robust evidence of the link between smoking during pregnancy and numerous adverse events, a systematic review and meta-analysis of 259 studies with statistical modeling for 131 countries showed a global prevalence of smoking during pregnancy in the general population of 1.7%, varying from 8.1% in the European region to 0.8% in the African.10 Moreover, 72.5% of pregnant women who smoked were daily smokers, of which 13.5% were heavy smokers.10 Data from 1999 to 2006 National Health and Nutrition Examination Survey revealed that 13% of infants in the United States were exposed to maternal smoking,11 and 7.2% of women who gave birth in 2016 smoked cigarettes during pregnancy.12 Despite public health advice and multiple approaches to smoking cessation, the prevalence of smoking during pregnancy remains high. In developed countries, up to 25% of pregnant women smoke, and 4% or lesser stopped smoking during pregnancy.13
The primary effects of maternal smoking on offspring lung function are reduction in forced expiratory flows, decreased passive respiratory compliance, increased hospitalization for respiratory infections, and an increased prevalence of childhood wheeze and asthma.14 It is well documented that asthma incidence is increased by maternal smoking in pregnancy.15,16 A meta-analysis of 79 prospective studies showed that exposure to pre- or postnatal passive smoking increased the incidence of wheeze and asthma in children and young people by at least 20%.17 A recent observational study showed that maternal smoking during pregnancy was associated with a cumulative incidence of adult-onset asthma (31–46 years) of 5.1% and 8.8% among men and women, respectively.18 In addition, a pooled analysis of eight European birth cohorts with data of more than 21,000 children showed that maternal smoking during pregnancy was associated with wheeze and asthma in preschool children.19 In younger children, a meta-analysis of 14 studies showed an increased risk for asthma in children aged ≤ 2 years (odds ratio [OR], 1.85; 95% confidence interval [CI], 1.35–2.53) in association with prenatal tobacco exposure.20
However, only a few studies have recorded the impact of maternal smoking during pregnancy on the development of asthma in offspring during the first year of life. So, this study aimed to compare the incidence of asthma during the first year of life in a cohort of infants born to mothers who actively smoked during pregnancy versus those who did not.
This research was a noninterventional observational study of a cohort of consecutive babies born at term and alive in the Hospital de Sagunto, Valencia, Spain, between September 1, 2017 and September 1, 2018. The primary objective of the study was to compare the incidence of asthma diagnosed in infants of this cohort during the first year of life according to the smoking status of their mothers during pregnancy (smokers vs. nonsmokers). The secondary objectives were to assess the distribution of infants diagnosed with otitis media, atopic dermatitis, pneumonia, bronchiolitis, and food allergy during the first year of life in the groups of smoker and nonsmoker mothers. Because all data analyzed were collected as part of routine diagnostic procedures and stored in clinical databases, approval by the Institutional Review Board was waived for this study.
Data of the mothers and neonates at the time of delivery were retrospectively collected from the hospital database, and clinical data of the infants during the first year of life were prospectively collected from the database of ambulatory medical records (ABUCASIS)21 of the Valencia Health System, implemented in 2006, as the electronic medical record for primary and specialized outpatient activity.
ABUCASIS comprises of two main modules: the ambulatory information system (SIA) and the pharmaceutical module including pediatric and adult primary care, mental health care, prenatal care, and specialist outpatient services, as well as providing information about dates, visits, procedures, laboratory test results, diagnoses, clinical, and lifestyle information. The SIA module uses the International Classification of Diseases, ninth revision, clinical modification (ICD-9-CM) for coding diagnoses, and the clinical risk groups (CRG) system to stratify the morbidity of the entire population.
The health program of the autonomous community of Valencia includes scheduled visits during the first and second weeks of life and at 1, 2, 4, 6, and 12 months after birth. The data was collected using the ABUCASIS registry between September 1, 2018 and October 1, 2019.
Neonatal and maternal variables included: sex, date of birth, gestational age, type of birth (spontaneous or cesarean section), birth weight, length at birth, birth weight, length at birth percentiles using the 2010 Spanish reference population,22 mother’s date of birth; active smoking during pregnancy (yes/no), number of cigarettes/day, type of lactation at the time of hospital discharge (breastfeeding only, mixed feeding, or artificial feeding), maternal work status (paid/unpaid), mother’s nationality (Spanish/foreign), and family history of atopy (yes/no).
Variables recorded during the first year of life were as follows: diagnosis of asthma (yes/no) that included ICD-9 code 493 (asthma, bronchospasm, bronchoconstriction crisis, bronchitis, and acute bronchitis), date of the first diagnosis of ICD-9 code 493; number of episodes diagnosed with ICD-9 code 493, diagnosis of atopic dermatitis (yes/ no), diagnosis of any food allergy (yes/no), diagnosis of otitis media (yes/no) and number of events, diagnosis of bronchiolitis (yes/no), date of the first diagnosis of bronchiolitis and number of episodes, diagnosis of pneumonia/ bronchopneumonia (yes/no), date of the first diagnosis of pneumonia and number of incidences, diagnosis of a life-threatening episode (yes/no), and weight and length at 6 and 12 months of life.
Categorical variables are expressed as frequencies and percentages, and continuous variables as mean and standard deviation (±SD) or median and interquartile range (IQR; 25th to 75th percentile). The distribution of variables in the mothers who smoked or did not smoke during pregnancy was compared with the Mann-Whitney U test for categorical data with two categories or the Kruskal-Wallis test for continuous data with three or more categories.
Logistic regression models with a forward selection strategy were used to assess the relationship between the appearance of a health problem during the first year of life (independent variable) and the presence of maternal and neonatal factors (dependent variables), which included sex, gestational age, type of delivery, birth weight, smoking during pregnancy, number of cigarettes smoked per day, type of lactation, age of the mother, and mother’s nationality.
Linear regression analysis assessed the number of incidences of asthma, otitis media, bronchiolitis, and pneumonia during the first year of life according to maternal and neonatal factors. The course of weight and length of infants during the first year of life according to the moth-er’s smoking status in pregnancy was analyzed using linear mixed-effects models, with weight and length as the response variables, and time of measurement (birth, 6 and 12 months) and smoking during pregnancy as explanatory variables. Statistical significance was set at P < 0.05. The R statistical package (version 4.0.2; https://www.R-project.org/.) was used for statistical analysis.
The study cohort included 648 infants (352 males, 296 females), with a mean birth weight of 3276 ± 479 g and length of 47.1 ± 27.9 cm. Smoking during pregnancy was recorded in 164 (25.3%) mothers, with a mean number of 1.7 ± 3.7 cigarettes/day. During the first year of life, asthma was diagnosed in 101 infants, with an incidence of 15.6%. Other diagnoses in infants were bronchiolitis (32.7%), otitis media (14.3%), atopic dermatitis (18.3%), food allergy (4.1%), and pneumonia (1.9%). Table 1 shows the distribution of study variables in the overall study population and according to the mother’s smoking status. Infants born to smoking mothers showed a significantly lower birth weight and length at birth versus nonsmoker mothers and received more mixed or artificial feeding frequently. Also, the diagnoses of asthma (25.6% vs. 12.3%; P < 0.0001) and bronchiolitis (44.5% vs. 28.6%; P = 0.0002) during the first year of life were more common among infants in the smoking group (Table 1). Between-group differences in the occurrence of pneumonia, atopic dermatitis, food allergy, and changes of anthropometric parameters during the first year of life were not found.
Table 1 Distribution of study variables in the overall population and according to the mother’s smoking status during pregnancy.a
| Variables | All infants (n =648) | Smoking status during pregnancy | P value | |
|---|---|---|---|---|
| Nonsmokers (n =484) | Smokers (n =164) | |||
| Neonatal and maternal factors | ||||
| Gender | ||||
| Male | 352 (54.3) | 266 (55.0) | 86 (52.4) | 0.587 |
| Female | 296 (45.7) | 118 (45.0) | 78 (47.6) | |
| Gestational age, months, median (IQR) | 39 (38–40) | 39 (38–40) | 39 (38–40) | 0.154 |
| Type of delivery | ||||
| Normal | 516 (79.6) | 381 (78.7) | 135 (82.3) | 0.369 |
| Cesarean section | 132 (20.4) | 103 (21.3) | 29 (17.7) | |
| Birth weight, g, mean±SD | 3276.1 (479.0) | 3329.2 (477.6) | 3119.3 (449.1) | <0.0001 |
| Birth weight percentile, median (IQR) | 49 (24.5–76.0) | 56 (28–79) | 34.5 (17.0–63.2) | <0.0001 |
| Length at birth, cm, mean±SD | 49.6 (2.1) | 49.9 (2.0) | 48.9 (2.1) | <0.0001 |
| Length at birth percentile, median (IQR) | 47 (23–69) | 50 (28–72) | 35.5 (11.7–57.3) | <0.0001 |
| Maternal age, years, mean±SD | 32.4 (5.8) | 32.6 (5.9) | 31.9 (5.4) | 0.085 |
| Mother’s nationality | ||||
| Spanish | 489 (75.5) | 343 (70.9) | 146 (89.0) | <0.0001 |
| Foreign | 159 (24.5) | 141 (29.1) | 11 (11.0) | |
| Mother’s work status | ||||
| Unpaid | 230 (35.5) | 180 (37.2) | 50 (30.7) | 0.155 |
| Paid | 417 (64.4) | 304 (62.8) | 113 (69.3) | |
| Type of lactation | ||||
| Breastfeeding | 405 (62.6) | 319 (66.1) | 86 (52.4) | 0.006 |
| Mixed feeding | 59 (9.1) | 42 (8.7) | 17 (10.4) | |
| Artificial feeding | 183 (28.3) | 122 (25.3) | 61 (37.2) | |
| Family history of atopy | 159 (24.6) | 120 (12.3) | 39 (23.9) | 0.834 |
| Diagnosis during the first year | ||||
| Asthma | 101 (15.7) | 59 (12.3) | 42 (25.6) | <0.0001 |
| Episodes, number, mean ±SD | 0.4 (1.14) | 0.28 (0.93) | 0.76 (1.55) | <0.0001 |
| Otitis media | 92 (14.3) | 66 (13.7) | 26 (15.9) | 0.517 |
| Bronchiolitis | 211 (32.7) | 138 (28.6) | 73 (44.5) | 0.0002 |
| Pneumonia | 12 (1.9) | 7 (1.5) | 5 (3.1) | 0.192 |
| Atopic dermatitis | 118 (18.3) | 91 (19.0) | 27 (16.5) | 0.559 |
| Food allergy | 26 (4.1) | 21 (4.4) | 5 (3.1) | 0.646 |
| Anthropometric data during the first year | ||||
| At 6 months | ||||
| Weight, g, mean±SD | 7713.3 (958.1) | 7734.6 (958.2) | 7653.7 (958,4) | 0.544 |
| Weight percentile, median (IQR) | 42 (22–64) | 41 (23.0–64.7) | 43.5 (20–64) | 0.480 |
| Length, cm, mean±SD | 67.0 (2.6) | 67.1 (2.5) | 66.9 (2.7) | 0.170 |
| Length percentile, median (IQR) | 50 (28.72) | 50 (30–73) | 45 (25.0–67.7) | 0.186 |
| At 12 months | ||||
| Weight, g, mean±SD | 9715.1 (1174) | 9717.3 (1165.3) | 9708.7 (1204.7) | 0.865 |
| Weight percentile, median (IQR) | 34 (14–58) | 34 (15–58) | 33.5 (14.0–57.5) | 0.942 |
| Length, cm, mean±SD | 75.6 (3.1) | 75.6 (2.8) | 75.4 (3.6) | 0.449 |
| Length percentile, median (IQR) | 50 (24–75) | 50 (25–77) | 48 (21–74) | 0.487 |
aData as frequencies and percentages in parenthesis unless otherwise stated. IQR, interquartile range.
Table 2 shows the distribution of variables in the group of 101 infants diagnosed with asthma versus those without asthma. The group of infants with asthma showed a higher percentage of males, maternal smoking during pregnancy, bronchiolitis, atopic dermatitis, food allergy, and higher weight at 6 and 12 months.
Table 2 Distribution of variables in infants with and without a diagnosis of asthma during the first year of life. a
| Variables | Diagnosis of asthma | P value | |
|---|---|---|---|
| No (n =543) | Yes (n =101) | ||
| Gender | |||
| Male | 281 (51.7) | 69 (68.3) | 0.002 |
| Female | 262 (48.3) | 32 (31.7) | |
| Smoking during pregnancy | |||
| No | 421 (77.5) | 59 (58.4) | 0.0001 |
| Yes | 122 (22.5) | 42 (41.6) | |
| Cigarettes per day, mean±SD | 1.39 (3.5) | 2.61 (4.6) | 0.0014 |
| Episodes of asthma, mean±SD | 0 | 2.71 (1.6) | <0.0001 |
| Bronchiolitis | 116 (21.4) | 94 (93.1) | <0.0001 |
| Episodes of bronchiolitis, number, mean±SD | 0.21 (0.42) | 1.02 (0.4) | <0.0001 |
| Atopic dermatitis | 90 (16.6) | 28 (27.7) | 0.001 |
| Food allergy | 18 (3.3) | 8 (7.9) | 0.049 |
| Weight at 6 months, g, mean±SD | 7665.3 (944.4) | 7945.7 (993.6) | 0.006 |
| Weight at 12 months, g, mean±SD | 9650.6 (1154.0) | 10054.6 (1231.8) | 0.005 |
| Weight percentile at 12 months, median (IQR) | 33 (14–55) | 38 (19.0–68.5) | 0.03 |
aOnly variables with statistical significance are shown; data as frequencies and percentages in parenthesis unless otherwise stated. IQR, interquartile range.
In the multivariable analysis (Table 3), the probability of developing asthma during the first year of life was twofold higher for males and 2.5 times higher when mothers smoked while pregnant, and the probability of developing otitis media was 1.8 times higher in infants with a family history of atopy. Concerning bronchiolitis, the probability was 2.1 times higher when mothers smoked during pregnancy; it also augmented as birth weight increases and increased as gestation age decreases. The probability of atopic dermatitis was 1.9 times higher in infants with a family history of atopy, and the probability of food allergy was almost three times higher in male versus female infants. Table 4 shows the risk for asthma and bronchiolitis associated with maternal smoking in pregnancy. For every 100 infants exposed to maternal smoking during pregnancy, 13 of them developed asthma, and 16 developed bronchiolitis during the first year of life. About 52% of asthma cases could have been avoided in infants born to smoking mothers if smoking refrained during pregnancy and 22% veif exposure to maternal smoking was eliminated. The corresponding percentages for bronchiolitis were 36% and 12%, respectively. A significantly increased risk for other health problems during the first year of life was not found.
Table 3 Results of multiple regression models.
| Variables | Coefficient (β) | Standard error | P value | Odds ratio (95% CI) |
|---|---|---|---|---|
| Model 1. Asthma during the first year of lifea | ||||
| Female gender | −0.738 | 0.233 | 0.0002 | 0.48 (0.29–0.75) |
| Smoking during pregnancy | 0.934 | 0.229 | <0.0001 | 2.54 (1.61–3.98) |
| Model 2. Otitis media during the first year of lifeb | ||||
| Family history of atopy | 0.586 | 0.244 | 0.01 | 1.79 (1.10–2.89) |
| Model 3. Bronchiolitis during the first year of lifec | ||||
| Smoking during pregnancy | 0.756 | 0.199 | 0.0001 | 2.13 (1.44–3.15) |
| Birth weight | 0.0008 | 0.0002 | 0.0001 | 1.00 (1.00–1.00) |
| Gestational age | −0.177 | 0.067 | 0.008 | 0.83 (0.73–0.95) |
| Model 4. Atopic dermatitis during the first year of lifed | ||||
| Family history of atopy | 0.635 | 0.220 | 0.004 | 1.88 (1.21–2.89) |
| Model 5. Food allergy during the first year of lifee | ||||
| Females | −1.071 | 0.473 | 0.023 | 0.34 (0.12–0.81) |
aOptimal cutoff, 0.119; sensitivity, 0.85; specificity, 0.37; area under the ROC curve, 0.651.
bOptimal cutoff, 0.121; sensitivity, 0.79; specificity, 0.42; area under the ROC curve, 0.639.
Model 3: cOptimal cutoff, 0.267; sensitivity, 0.82; specificity, 0.42; area under the ROC curve, 0.657.
Model 4: dOptimal cutoff, 0.171; sensitivity, 0.54; specificity, 0.61; area under the ROC curve, 0.590.
eOptimal cutoff, 0.048; sensitivity, 0.69; specificity, 0.60; area under the ROC curve, 0.666. CI, confidence interval; ROC, receiver operating characteristic curve.
Table 4 Risk for asthma and bronchiolitis during the first year of life associated with maternal smoking during pregnancy.
| Risk measure (95% CI) | Asthma | Bronchiolitis |
|---|---|---|
| Attributable riska | 13.32 (6.02–20.62) | 15.88 (7.27–24.49) |
| Attributable risk in the populationa | 3.39 (0.00–7.46) | 4.03 (0.00–9.45) |
| Attributable risk fraction in exposed infants | 52 (31.63–66.30) | 35.68 (19.73–48.46) |
| Attributable risk fraction in the population | 21.63 (8.95–32.53) | 12.34 (5.20–18.95) |
aPer 100 population units.
CI: confidence interval.
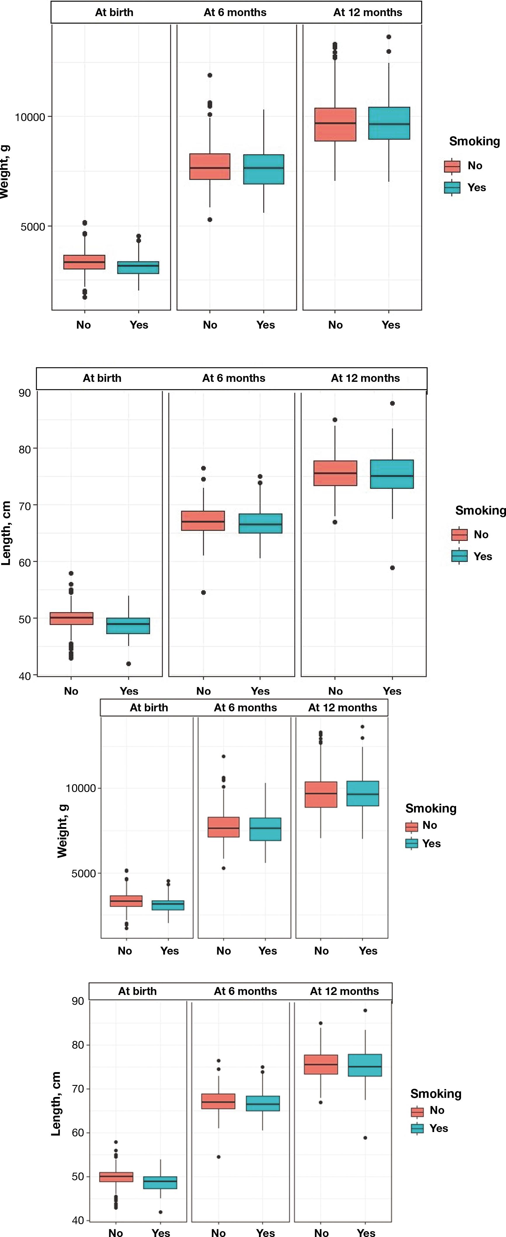
The effect of smoking during pregnancy on anthropo-metric parameters at birth and 6 and 12 months is shown in Table 5. Although infants in the smoking group showed a lower weight and length at birth than infants in the nonsmoking group, differences almost disappeared at 6 and 12 months (Figure 1). In the mixed-effects models, the birth weight of infants born to smoking mothers was 0.2 kg lower than that of those born to nonsmoking mothers, but this difference was 0.1 kg at 6 months and disappeared at 12 months. Differences in length were 1 cm, 0.4 cm, and 0.2 cm at birth, 6 months, and 12 months, respectively.
Table 5 Changes in birth weight and length during the first year of life according to the smoking status of the mother during pregnancy.
| Parameters | Smoking during pregnancy | Median difference | |
|---|---|---|---|
| No (n =484) median (IQR) | Yes (n =164) median (IQR) | ||
| Weight, g | |||
| At birth | 3310 (3020–3650) | 3125 (2798–3362) | 185 |
| At 6 months | 7645 (7.132–8.299) | 7635 (6898–8268) | 10 |
| At 12 months | 9670 (8900–10390) | 9650 (8950–10450) | 20 |
| Length, cm | |||
| At birth | 50 (49–51) | 49.0 (47.4–50.1) | 1 |
| At 6 months | 67.0 (65.6–69.0) | 66.5 (65.0–68.5) | 0.5 |
| At 12 months | 75.5 (73.5–77.8) | 75 (73–78) | 0.5 |
IQR, interquartile range (25th–75th percentile).
Figure 1 Changes of infants’ weight (upper panel) and length (lower panel) during the first year of life according to the smoking status of the mother during pregnancy.
This study shows that asthma during the first year of life occurred in 25.6% versus 12.3% of infants born to mothers who smoked versus nonsmokers during pregnancy. This difference was statistically significant. Maternal smoking during pregnancy appears to increase the risk for wheeze and asthma even among children who were not exposed to maternal smoking after birth.19 Our results showing an increased risk for asthma in infants whose mothers smoked during pregnancy agreed with earlier findings of other studies.2,7,8,14,19 In a birth cohort of 4089 newborn infants followed for 2 years, when the mother had smoked during pregnancy and stopped after that, an increased risk for recurrent wheezing for up to 2 years of age was recorded (adjusted OR, 2.2; 95% CI, 1.3–3.6); maternal smoking during pregnancy but no exposure to environmental tobacco smoke also increased the risk for doctor’s diagnosed asthma up to 2 years of age (adjusted OR, 2.1; 95% CI, 1.2–3.7).23 In a longitudinal study of lung function data from 5933 participants in the Children’s Health Study, in utero exposure to maternal smoking and early asthma diagnosis was associated with higher decreases of pulmonary function parameters.24 In fact, pregnancy represents a unique opportunity for smoking cessation and showed that up to 45% of women quit before their antenatal visit or during pregnancy, but based on nicotine biomarker data, about 25% of women report their smoking status at prenatal visits.25 In our study, there was also a disparity between the percentage of smoking mothers (25.3%) and the few numbers of cigarettes that they reported to smoke on daily basis (mean, 1.7 ± 3.7 cigarettes/day). Smoking during pregnancy is a particularly stigmatized activity, which may lead to hidden smoking and a barrier to obtaining actual data on questioning for smoking habits.26
In the logistic regression analysis, we found that the probability of developing asthma during the first year of life was 2.5 times higher in women who smoked while pregnant. Concerning the attributable risk for exposure to maternal smoking, 52% of cases of asthma in infants could have been avoided if mothers did not smoke during pregnancy, a clinically relevant finding of the study supports the need to carry out actions to help women stop smoking during pregnancy.
The diagnosis of bronchiolitis was also significantly more common in infants born to smoking mothers (44.5%) than in nonsmokers (28.6%). Moreover, bronchiolitis was diagnosed in 93.1% versus 21.4% of infants with or without asthma. Smoking during pregnancy was a variable independently associated with bronchiolitis in the logistic regression analysis. Here, 36% of cases of bronchiolitis could have been avoided in the absence of exposure to maternal smoking during pregnancy. These results are consistent with other studies showing that prenatal smoking increases the risk for severe bronchiolitis in children.27–29
Atopic dermatitis and food allergy were also significantly more common in infants diagnosed with asthma. Although, both conditions were unrelated to the smoking status of mothers during pregnancy. The interrelationship of atopic disorders has been extensively investigated. Numerous studies have provided evidence of the strong associations between atopic dermatitis, allergic rhinitis, and asthma (the so-called “atopic march”).30–32
Statistically significant differences in anthropometric variables, with lower birth weight and length in infants born to smoking mothers, were observed in this study with solid evidence of reduced fetal measurements (reduced head size and femur length)33 and low birth weight provided by multiple studies including systematic reviews and meta-analysis. These effects may be attenuated if mothers quit or reduce cigarette consumption during pregnancy. In a meta-analysis of 30 studies, active maternal smoking was associated with low birth weight (OR, 2.00; 95% CI, 1.77–2.26).34 In a cross-sectional study of full-term infants, birth weight decreased with increased daily number of cigarettes. Compared with infants born to non-smoking mothers, mean birth weight was 320 g lower in infants whose mothers smoked 6 to 10 cigarettes per day and 435 g lower in infants whose mothers smoked 11 to 40 cigarettes per day during pregnancy.35 However, present study did not examine the relationship between cigarettes smoked per day and reduced birth weight.
Our study has some limitations. First is the difficulty to make an asthma diagnosise in the first years of life. Even though using the expression asthma is controversial in this age, it is widely accepted that asthma is a heterogeneous syndrome that can be clinically diagnosed in preschool children.36 Second, all the diagnoses recorded in the database were made by a pediatrician and codified with code 493 of ICD-9. The possibility of the inaccuracy of the diagnosis could be equally distributed between smokers and nonsmoker’s mothers.
Unfortunately, the number of cigarettes smoked per day was inaccurate in this study because the data was self-reported. Hence, were not able to examine a dose- response effect.37 Future studies should also include ve the paternal smoking status in the maternity reports. Exposure to paternal smoking is independent of maternal smoking during pregnancy and is linked to an increased risk of wheezing in children.38,39
The precise effect of pre- and postnatal exposure to smoking habit on the offspring is difficult to identify as women who smoke during pregnancy continue smoking after delivery. Hence, this information was uncollected.
Although our findings are limited by a single-center design and retrospective maternal and neonatal data collection based on a hospital database, asthma, and bronchiolitis during the first year of life showed a clear relationship with maternal smoking in pregnancy. About52% of cases of asthma could had been avoided in the absence of fetal exposure to maternal smoking. Pregnant women need to be informed of the significant perinatal risk for respiratory diseases associated with tobacco use. Clinicians should individualize care by offering cessation-aid services and resources and provide all support necessary for smoking cessation success.
The authors thank Marta Pulido for editorial assistance.
No potential conflict of interest was reported by the authors.
This study received a grant from SEICAP.
1. Wehby GL, Prater K, McCarthy AM, Castilla EE, Murray JC. The impact of maternal smoking during pregnancy on early child neurodevelopment. J Hum Cap. 2011;5(2):207–254. 10.1086/660885
2. Cnattingius S. The epidemiology of smoking during pregnancy: Smoking prevalence, maternal characteristics, and pregnancy outcomes. Nicotine Tob Res. 2004;6 (Suppl 2):S125–40. 10.1080/14622200410001669187
3. Shea AK, Steiner M. Cigarette smoking during pregnancy. Nicotine Tob Res. 2008;10(2):267–278. 10.1080/14622200701825908
4. Brion MJ, Victora C, Matijasevich A, Horta B, Anselmi L, Steer C, et al. Maternal smoking and child psychological problems: Disentangling causal and noncausal effects. Pediatrics. 2010;126(1):e57–65. 10.1542/peds.2009-2754
5. Indredavik MS, Brubakk AM, Romundstad P, Vik T. Prenatal smoking exposure and psychiatric symptoms in adolescence. Acta Paediatr. 2007;96(3):377–82. 10.1111/j.1651-2227.2006.00148.x
6. von Kries R, Toschke AM, Koletzko B, Slikker W Jr. Maternal smoking during pregnancy and childhood obesity. Am J Epidemiol. 2002;156(10):954–61. 10.1093/aje/kwf128
7. Hayatbakhsh MR, Sadasivam S, Mamun AA, Najman JM, Williams GM, O’Callaghan MJ. Maternal smoking during and after pregnancy and lung function in early adulthood: A prospective study. Thorax. 2009;64(9):810–14. 10.1136/thx.2009.116301
8. Milner AD, Rao H, Greenough A. The effects of antenatal smoking on lung function and respiratory symptoms in infants and children. Early Hum Dev. 2007;83(11):707–11. 10.1016/j.earlhumdev.2007.07.014
9. Banderali G, Martelli A, Landi M, Moretti F, Betti F, Radaelli G, et al. Short and long term health effects of parental tobacco smoking during pregnancy and lactation: A descriptive review. J Transl Med. 2015;13:327. 10.1186/s12967-015-0690-y
10. Lange S, Probst C, Rehm J, Popova S. National, regional, and global prevalence of smoking during pregnancy in the general population: A systematic review and meta-analysis. Lancet Glob Health. 2018;6(7):e769–76. 10.1016/S2214-109X(18)30223-7
11. Dietz PM, Homa D, England LJ, Burley K, Tong VT, Dube SR, et al. Estimates of nondisclosure of cigarette smoking among pregnant and nonpregnant women of reproductive age in the United States. Am J Epidemiol. 2011;173(3):355–9. 10.1093/aje/kwq381.
12. Drake P, Driscoll AK, Mathews TJ. Cigarette smoking during pregnancy: United States 2016. NCHS Data Brief. 2018; Feb;(305):1–8.
13. Tappin D, MacAskill S, Bauld L, Eadie D, Shipton D, Galbraith L. Smoking prevalence and smoking cessation services for pregnant women in Scotland. Subst Abuse Treat Prev Pol. 2010;5:1.
14. Drake AJ, O’Shaughnessy PJ, Bhattacharya S, Monteiro A, Kerrigan D, Goetz S, et al. In utero exposure to cigarette chemicals induces sex-specific disruption of one-carbon metabolism and DNA methylation in the human fetal liver. BMC Med. 2015;13:18. 10.1186/s12916-014-0251-x
15. McEvoy CT, Spindel ER. Pulmonary effects of maternal smoking on the fetus and child: Effects on lung development, respiratory morbidities, and life long lung health. Paediatr Respir Rev. 2017;21:27–33. 10.1016/j.prrv.2016.08.005
16. Gilliland FD, Li YF, Peters JM. Effects of maternal smoking during pregnancy and environmental tobacco smoke on asthma and wheezing in children. Am J Respir Crit Care Med. 2001;163(2):429–36. 10.1164/ajrccm.163.2.2006009
17. De Queiroz Andrade E, Da Silva Sena CR, Collison A, Murphy VE, Gould GS, Bonevski B, et al.. Association between active tobacco use during pregnancy and infant respiratory health: A systematic review and meta-analysis. BMJ Open. 2020;10(9):e037819. 10.1136/bmjopen-2020-037819
18. Burke H, Leonardi-Bee J, Hashim A, Pine-Abata H, Chen Y, Cook DG, et al. Prenatal and passive smoke exposure and incidence of asthma and wheeze: Systematic review and meta-analysis. Pediatrics. 2012;129(4):735–44. 10.1542/peds.2011-2196
19. Toppila-Salmi S, Luukkainen AT, Xu B, Lampi J, Auvinen J, Dhaygude K, et al. Maternal smoking during pregnancy affects adult onset of asthma in offspring: A follow up from birth to age 46 years. Eur Respir J. 2020;55(6):1901857. 10.1183/13993003.01857-2019
20. Neuman Å, Hohmann C, Orsini N, Pershagen G, Eller E, Kjaer HF, et al. Maternal smoking in pregnancy and asthma in preschool children: A pooled analysis of eight birth cohorts. Am J Respir Crit Care Med. 2012;186(10):1037–43. 10.1164/rccm.201203-0501OC
21. Zacharasiewicz A. Maternal smoking in pregnancy and its influence on childhood asthma. ERJ Open Res. 2016;2(3):042–2016. 10.1183/23120541.00042-2016
22. García-Sempere A, Orrico-Sánchez A, Muñoz-Quiles C, Hurtado I, Peiró S, Sanfélix-Gimeno G, et al. Data Resource Profile: The Valencia Health System Integrated Database (VID). Int J Epidemiol. 2020;49(3):740–1e. 10.1093/ije/dyz266
23. Servicio de Planificación y Evaluación de Políticas de Salud. Encuesta de salud de la Comunidad Valenciana 2016. Principales resultados. Conseleria de Sanitat i Salut Pública, València, 2017.
24. Lannerö E, Wickman M, Pershagen G, Nordvall L. Maternal smoking during pregnancy increases the risk of recurrent wheezing during the first years of life (BAMSE). Respir Res. 2006;7(1):3. 10.1186/1465-9921-7-3
25. Gilliland FD, Berhane K, Li YF, Rappaport EB, Peters JM. Effects of early onset asthma and in utero exposure to maternal smoking on childhood lung function. Am J Respir Crit Care Med. 2003;167(6):917–24. 10.1164/rccm.200206-616OC
26. Scherman A, Tolosa JE, McEvoy C. Smoking cessation in pregnancy: A continuing challenge in the United States. Ther Adv Drug Saf. 2018;9(8):457–74. 10.1177/2042098618775366
27. Grant A, Morgan M, Gallagher D, Mannay D. Smoking during pregnancy, stigma and secrets: Visual methods exploration in the UK. Women Birth. 2020;33(1):70–6. 10.1016/j.wombi.2018.11.012
28. Lanari M, Vandini S, Adorni F, Prinelli F, Di Santo S, Silvestri M, et al. Prenatal tobacco smoke exposure increases hospitalizations for bronchiolitis in infants. Respir Res. 2015;16:152. 10.1186/s12931-015-0312-5
29. Cano Fernández J, Zabaleta Camino C, de la Torre Montes de Neira E, Yep Chullen GA, Melendi Crespo JM, Sánchez Bayle M. Pre and postnatal tobacco exposure and bronchiolitis. An Pediatr (Barc). 2003;58(2):115–20. 10.1016/s1695-4033(03)78014-x
30. Fuentes-Leonarte V, Estarlich M, Ballester F, Murcia M, Esplugues A, Aurrekoetxea JJ, et al. Pre-and postnatal exposure to tobacco smoke and respiratory outcomes during the first year. Indoor Air. 2015;25(1):4–12. 10.1111/ina.12128
31. Bantz SK, Zhu Z, Zheng T. The atopic march: Progression from atopic dermatitis to allergic rhinitis and asthma. J Clin Cell Immunol. 2014;5(2):202. 10.4172/2155-9899.1000202
32. Spergel JM. Epidemiology of atopic dermatitis and atopic march in children. Immunol Allergy Clin North Am. 2010;30(3):269–80. 10.1016/j.iac.2010.06.003
33. von Kobyletzki LB, Bornehag CG, Hasselgren M, Larsson M, Lindström CB, Svensson Å. Eczema in early childhood is strongly associated with the development of asthma and rhinitis in a prospective cohort. BMC Dermatol. 2012;12:11. 10.1186/1471-5945-12-11
34. Abraham M, Alramadhan S, Iniguez C, Duijts L, Jaddoe VW, Den Dekker HT, et al. A systematic review of maternal smoking during pregnancy and fetal measurements with meta-analysis. PLoS One. 2017;12(2):e0170946. 10.1371/journal.pone.0170946
35. Pereira PP, Da Mata FA, Figueiredo AC, de Andrade KR, Pereira MG. Maternal active smoking during pregnancy and low birth weight in the Americas: A systematic review and meta-analysis. Nicotine Tob Res. 2017;19(5):497–505. 10.1093/ntr/ntw228
36. Malta MB, de Barros Leite Carvalhaes MA, de Lima Parada CMG. Smoking during pregnancy and harm reduction in birth weight: A cross-sectional study. BMC Pregnancy Childbirth. 2018;18(1):67. 10.1186/s12884-018-1694-4
37. Moral L, Vizmanos G, Torres-Borrego J, Praena-Crespo M, Tortajada-Girbés M, Pellegrini FJ, Asensio Ó. Asthma diagnosis in infants and preschool children: A systematic review of clinical guidelines. Allergol Immunopathol (Madr). 2019;47(2):107–21. 10.1016/j.aller.2018.05.002
38. Erickson AC, Arbour LT. Heavy smoking during pregnancy as a marker for other risk factors of adverse birth outcomes: A population-based study in British Columbia, Canada. BMC Public Health..2012;6(12):102. 10.1186/1471-2458-12-102
39. Harju M, Keski-Nisula L, Georgiadis L, Heinonen S. Parental smoking and cessation during pregnancy and the risk of childhood asthma. BMC Public Health. 2016 May 24;16:428. 10.1186/s12889-016-3029-6