Download

ORIGINAL ARTICLE

Stepwise, precision-based management of allergic Bronchopulmonary Aspergillosis/Mycosis: A real-life multicenter study

Şeyma Özdena*, Fatma Merve Tepetama, Umut İlhanb, Tuğba Üstünerc, Ramazan Erenb, Barış Demirkold, Özge Atike, Elif Tanrıverdib, Erdoğan Çetinkayab

aDepartment of Immunology and Allergy, Süreyyapaşa Chest Diseases and Thoracic Surgery Training and Research Hospital, University of Health Sciences, Istanbul, Türkiye

bDepartment of Chest Diseases, Yedikule Chest Diseases and Thoracic Surgery Training and Research Hospital, University of Health Sciences, Istanbul, Türkiye

cDepartment of Chest Diseases, Gülhane Training and Research Hospital, University of Health Sciences, Ankara, Türkiye

dDepartment of Chest Diseases, Başakşehir Çam ve Sakura Training and Research Hospital, University of Health Sciences, Istanbul, Türkiye

eDepartment of Immunology and Allergy, Van Training and Research Hospital, University of Health Sciences, Van, Türkiye

Abstract

Background: Allergic bronchopulmonary aspergillosis (ABPA) and allergic bronchopulmonary mycosis (ABPM) are hypersensitivity disorders characterized by fungal colonization of the airways and exaggerated Th2-mediated immune responses. Despite corticosteroids being the cornerstone of treatment, adverse effects, relapses, and steroid dependence necessitate adjunctive antifungal and biologic therapies. This study aimed to evaluate clinical, functional, and immunologic responses to different treatment combinations in patients with ABPA or ABPM.

Methods: This retrospective, multicenter, cross-sectional study included 70 patients diagnosed with ABPA (n = 54) or ABPM (n = 16) at two tertiary chest disease centers between 2016 and 2023. Patients were grouped according to systemic corticosteroid (SS) use (SS-using vs non-SS) and further subdivided based on treatment composition (antifungal ± biologic therapy vs antifungal alone). Changes in FEV1 (Forced Expiratory Volume in 1 second), Asthma Control Test (ACT) scores, total serum IgE, and peripheral blood eosinophil count (PBEC) before and after treatment were analyzed.

Results: In the SS-using group, combination therapy with antifungal ± biologic agents produced significant improvements in FEV1 (mL and %) and ACT scores, along with substantial reductions in total IgE and PBEC levels (all P < 0.05). Antifungal monotherapy yielded significant reductions in immunologic parameters but no functional improvement. In the non-SS group, changes were minimal across most parameters, except for a modest reduction in total IgE within the antifungal ± biologic subgroup. The most comprehensive clinical and immunologic responses were observed in patients treated with corticosteroids combined with antifungal and biologic therapy.

Conclusion: SS remain the primary therapeutic modality for ABPA, but the addition of antifungal and biologic agents enhances both immunologic and functional recovery. A precision-based, stepwise treatment model—initiating with corticosteroids, followed by antifungal therapy, and incorporating targeted biologics—may optimize long-term outcomes, minimize steroid exposure, and promote sustained remission in ABPA and ABPM.

Key words: Allergic Bronchopulmonary Aspergillosis (ABPA), Allergic Bonchopulmonary Mycosis (ABPM), antifungal therapy, omalizumab, systemic corticosteroids

*Corresponding author: Şeyma Özden, Department of Immunology and Allergy, Süreyyapaşa Chest Diseases and Thoracic Surgery Training and Research Hospital, University of Health Sciences, Istanbul, Türkiye. Email address: [email protected]

Received 9 November 2025; Accepted 5 January 2026; Available online 1 March 2026

DOI: 10.15586/aei.v54i2.1623

Copyright: Özden Ş, et al.
This open access article is licensed under Creative Commons Attribution 4.0 International (CC BY 4.0). http://creativecommons.org/licenses/by/4.0/

Introduction

Airway diseases caused by fungi are generally classified as invasive, saprophytic, or allergic. The allergic group is roughly divided into two groups: the allergic response to environmental fungi (Alternaria and Cladosporium) that act as seasonal aerosols and an allergic response to thermotolerant filamentous fungi such as Aspergillus, Penicillium, Candida albicans, Bipolaris spp., Shizophyllum commune, and Curvularia spp. While these can also act as aeroallergens, they have the additional properties of germinating in the airways, colonizing the lungs, and causing a persistent allergenic stimulus that can lead to lung damage.13 Aspergillus fumigatus is the most common fungus causing allergic pulmonary mycosis.4 The Delphi expert consensus group (DECG) recommended using the term “ABPA” for allergic mycoses caused by any Aspergillus spp. (not A. fumigatus only) and “ABPM” when attributable to fungi other than Aspergillus spp.5 ABPA is a complex hypersensitivity reaction that occurs after colonization of the airways with Aspergillus spp. and is frequently seen in patients, most commonly with asthma or cystic fibrosis (CF). Aspergillus sensitization (AS) is defined by skin prick test (SPT) or the presence of elevated immunoglobulin (Ig) E against A. fumigatus. The prevalence of ABPA in Aspergillus-sensitive asthma can be up to 40%, emphasizing the importance of recognizing AS.6 In patients with CF, prevalences range from 2 to 9%.7 The combined prevalence of AS and ABPA complicating asthma in pulmonary clinics has been estimated to be approximately 28 and 13%, respectively.6 Although the pathogenesis of ABPA has not yet been fully elucidated, two major mechanisms appear to play key roles: the persistence of fungi in the airways due to impaired mucociliary clearance and an exaggerated T-helper type 2 (Th2)–driven immune response.8 Incomplete clearance of A. fumigatus conidia leads to germination and exposure of surface antigens that trigger a Th2-dominant immune reaction characterized by elevated interleukins (IL-4, IL-5, IL-13), mast cell activation, and eosinophilic infiltration. This chronic inflammatory milieu, if left uncontrolled, results in bronchiectasis, mucus impaction, and eventually fibrotic lung remodeling.9 Therefore, therapeutic strategies targeting both fungal burden and Th2 inflammation are essential to prevent irreversible airway damage.

Systemic corticosteroid (SS) remains the cornerstone of ABPA management because of its potent anti-inflammatory effect; however, long-term use is often complicated by relapse, steroid dependence, and adverse events. Adjunctive antifungal agents—such as itraconazole—help reduce airway fungal load and antigenic stimulation, while biologic therapies (anti-IgE or anti–IL-5/IL-4R agents) offer potential for more targeted, steroid-sparing control of type 2 inflammation.5,10 Despite these advances, there is a paucity of real-world data directly comparing different therapeutic combinations and their relative impact on clinical, functional, and immunologic outcomes.

The present study was therefore designed to evaluate, in a multicenter real-life setting, the comparative effects of systemic corticosteroids, antifungal therapy, and biologic agent (omalizumab)—alone or in combination—in disease control in patients with ABPA(M). By analyzing changes in FEV1, Asthma Control Test (ACT) scores, total serum IgE, and peripheral blood eosinophil count (PBEC) before and after treatment, this study aims to clarify the additive value of antifungal and biologic agents beyond corticosteroids and to provide a framework for a stepwise, precision-based treatment approach.

Material and Methods

Study design

In this retrospective, cross-sectional study conducted at two centers (Süreyyapaşa Chest Diseases and Thoracic Surgery Training and Research Hospital, Istanbul and Yedikule Chest Diseases and Thoracic Surgery Training and Research Hospital, Istanbul), the records of a total of 267 patients with ICD code B44 and its subcodes, documented between 2016 and 2023, were reviewed. Patients with saprophytic aspergillosis (aspergilloma, mycetoma, fungal ball), invasive aspergillosis, and those lost to follow-up were excluded from the study. Patients who underwent regular treatment and follow-up for at least 16 weeks were included in the study. The remaining 70 patients were divided into two groups based on SS use (SS-using vs non-SS) and further subdivided according to treatment composition as antifungal therapy (ıtrakanazol) alone or antifungal therapy combined with the biologic agent omalizumab (Figure 1). The clinical, spirometric, and laboratory parameters of all patients were recorded before treatment and after the 16-week treatment period.

Figure 1 Patient selection and treatment group allocation flowchart.

Omalizumab was the only biologic therapy used in this cohort; no patients received other biologics targeting IL-5, IL-5R, or IL-4/13 pathways during the study period.

The study protocol was approved by the local ethics committee of the University of Health Sciences, Süreyyapaşa Chest Diseases and Thoracic Surgery Training and Research Hospital (Approval identification number: 283). The data was collected from electronic or paper hospital medical records and consisted of all medical care received between 2016 and 2023.

Patients

Patients defined as ABPA according to the diagnostic criteria (Table 1), defined by the International Society of Human and Animal Mycology (ISHAM) ABPA Working Group (AWG) in 2013, were included in the study. Accordingly, patients with elevated serum total IgE (> 1000 IU/mL) in the presence of underlying asthma or cystic fibrosis and A. fumigatus specific IgE > 0.35 kU/mL or A. fumigatus SPT positivity in the presence of at least two of the following three criteria were defined as ABPA:

  1. PBEC > 500 cells/μL

  2. Bronchiectasis on computed tomography (CT) of the chest

  3. A. fumigatus-IgG >27 mg

Table 1 International Society for Human and Animal Mycology-Allergic Bronchopulmonary Aspergillosis (ISHAM-ABPA) Working Group criteria used for the diagnosis of ABPA.10

Predisposing factors (at least one must be present)
  • Asthma

  • Cystic fibrosis

Obligatory criteria (both should be present)
  • Immediate cutaneous hyper-reactivity to A.fumigatus antigens or A.Fumigatus spesific IgE > 0.35 kUA/L

  • Total IgE > 1000 IU/mL

Other criteria (at least 2 out of 3)
  • PBEC > 500 cells/μL

  • Transient pulmonary infiltrates on chest radiograph

  • Presence of precipitins (IgG) against Aspergillus fumigatus

PBEC: peripheral blood eosinophil count.

Those sensitized with thermotolerant fungi other than Aspergillus spp. were classified as ABPM.10

Treatment options

According to the 2013 ISHAM Working Group recommendations, systemic glucocorticoids remain the first-line therapy for ABPA(M); however, the optimal dose and duration of treatment have not been standardized, and several steroid regimens have been described in the literature.1012 Although systemic corticosteroids are highly effective in controlling acute inflammation and improving pulmonary function, approximately 50% of patients experience relapse upon dose tapering, and 20–45% become steroid-dependent.58,10,12 In addition, long-term corticosteroid therapy is frequently associated with adverse effects such as osteoporosis, cataracts, and avascular necrosis.1316

The use of antifungal agents in ABPA may reduce the fungal burden, thereby diminishing antigenic stimulation and subsequent immune activation. This approach can reduce the need for systemic corticosteroids or allow their withdrawal.1315 Among biologic agents, omalizumab—a humanized monoclonal antibody targeting IgE—has been proposed as a potential treatment option, given the strong association between ABPA and elevated serum IgE levels.5,16 Several studies have demonstrated that omalizumab therapy in ABPA leads to improvement in symptoms, reductions in exacerbation frequency and asthma-related hospitalizations, enhancement in lung function, and decreased oral steroid requirements.1719 The omalizumab dose is determined according to body weight and total serum IgE levels, administered subcutaneously every 14 days at a maximum of 375 mg per injection. It was shown to have particular benefits in patients with ABPA accompanied by severe asthma.5

In our cohort, most patients had predisposing respiratory conditions—particularly asthma—and a history of multiple courses of SSs. A substantial proportion had already developed steroid-related adverse effects (such as osteoporosis, cataract, or aseptic bone necrosis). Therefore, a steroid-free treatment regimen was established for these patients. All received antifungal therapy with itraconazole, while those with concomitant severe asthma additionally received omalizumab as add-on therapy.

Based on these treatment characteristics, patients were classified into four groups:

  • SS-using group:

    • Group A: SS + omalizumab ± itraconazole

    • Group B: SS + itraconazole

  • Non-SS group:

    • Group C: omalizumab + itraconazole

    • Group D: itraconazole only

Collected data

Clinical and demographic characteristics, as well as changes in the Asthma Control Test (ACT) score, FEV1 (mL and %), total serum IgE, and PBEC before and after treatment, were analyzed across these groups (Table 2).

Table 2 Baseline clinical, laboratory, and demographic characteristics.

Age, years, mean ± SD 50.78 ±12.47
Gender, female, n (%) 39 (55.7)
BMI, kg/m2, mean ± SD 27.163 ±5.68
Total IgE, IU, median (min-max) 1125 (12–10,000)
PBEC, cells/μL, median (min-max) 310 (10–3950)
FEV1, mL, mean ± SD 1914.33 ±794.36
FEV1, %, mean ± SD 67.53 ±27.98
ACT, mean ± SD 16.82 ±5.76
Treatment options, n, (%)
   Group A
   Group B
   Group C
   Group D

   13 (18.5)
   17 (24.2)
   14 (20)
   26 (37.3)

ACT: Asthma Control Test; BMI: Body Mass Index; FEV1:Forced Expiratory Volume in the First Second; PBEC: peripheral blood eosinophil count.

Statistical analysis

Statistical analyzes were performed using SPSS software (version 21.0 for Windows; SPSS Inc., Chicago, IL). Parametric variables were presented as means and standard deviations, and nonparametric variables as medians and minimum–maximum (min–max). Numbers of cases and percentages were used for categorical variables. Chi-square test was used in the analysis of categorical variables. Whether the continuous variables were normally distributed or not was determined by Kolmogorov–Smirnov and histogram analysis. Normally distributed numerical variables were analyzed using an independent sample t-test. Mann–Whitney U-test was used to compare numerical variables that did not show normal distribution. The different clinical and biological markers before and after treatment were evaluated using the paired sample t-test if normally distributed, and the Wilcoxon signed-rank test if not normally distributed. P < 0.05 was considered statistically significant.

Results

A total of 70 patients were included in the study, comprising 47 (67.1%) from Süreyyapaşa Chest Diseases Hospital and 23 (32.9%) from Yedikule Chest Diseases Hospital. The mean age of the cohort was 50.78 ± 12.47 years, and 39 (55.7%) were females. Among the participants, 54 (77.1%) were diagnosed with ABPA and 16 (22.9%) with ABPM. Patients were initially categorized into two main groups based on the SS usage: the SS-using group (n = 30) and the non-SS group (n = 40). Each group was subsequently subdivided based on treatment options.

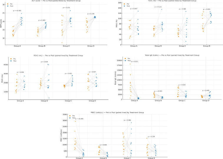
In the SS-using group (Groups A and B), patients receiving omalizumab ± itraconazole (Group A) demonstrated a statistically significant decrease in serum total IgE and PBEC levels, alongside a significant improvement in FEV1 (both mL and % predicted) and ACT scores when comparing pre- and posttreatment values (P < 0.05 for all). Conversely, among those treated with SS+ itraconazole (Group B), a significant reduction was observed only in total IgE, PBEC levels, and ACT, while changes in FEV1 (both mL and % predicted) were not statistically significant.

In the non-SS group (Groups C and D), no statistically significant differences were detected between pre- and posttreatment measurements in either Group C or Group D. However, within the omalizumab + itraconazole subgroup (Group C), a modest yet statistically significant decline in total IgE levels was noted following treatment (P < 0.025) (Table 3). Figure 2 provides a visual summary of the analyses performed based on the treatment groups.

Figure 2 Changes in clinical, laboratory, and spirometric parameters across treatment groups.

Table 3 Comparison of pre- and posttreatment laboratory, spirometric, and clinical parameters according to treatment regimens.

Patients Using Systemic Steroids n:30
Group A n:13 Group B n:17
Pretreatment Posttreatment P Pretreatment Posttreatment P
Total IgE, IU, median (min-max) 847 (40–26,664) 360 (49–1319) 0.022 1376 (136–4254) 1014 (36–2807) <0.001
PBEC, cells/μL, median (min-max) 605 (90–3950) 140 (0–740) <0.001 360 (100–1600) 100 (0–590) 0.006
FEV1, mL, mean ± SD 1638.66 ± 613.10 1928.66 ± 822.52 0.006 1724.28 ± 505.53 2138.57 ± 860.78 0.058
FEV1, %, mean ± SD 51.46 ± 21.85 61.33 ± 24.45 0.007 54.42 ± 15.26 66.14 ± 17.73 0.121
ACT, mean ± SD 12.71 ± 2.75 21.71 ± 2.05 <0.001 14.421 ± 1.81 17.71 ± 1.49 0.005
Patients Not Using Systemic Steroids n:40
Group C n:14 Group D n:26
Pretreatment Posttreatment P Pretreatment Posttreatment P
Total IgE, IU, median (min-max) 1278.50 (16–10,000) 615 (11–5972) 0.025 1200 (380–2639) 913 (149–5040) 0.445
PBEC, cells/μL median (min-max) 455 (80–2800) 140 (10–3210) 0.386 195 (30–2000) 120 (10–1700) 0.126
FEV1, mL, median (min-max) 1590 (1450–3140) 1655 (1390–1750) 0.465 2168.88 ± 481.67 2283.33 ± 677.18 0.537
FEV1, %, mean ± SD 49.25 ± 14.31 60.50 ± 31.22 0.380 83(71–152) 89(42–139) 0.953
ACT, mean ± SD 17.14 ± 6.71 21.00 ± 2.88 0.134 20(12–25) 22(22–23) 0.336

ACT: Asthma Control Test; FEV1: Forced Expiratory Volume in the First Second; PBEC: peripheral blood eosinophil count.

Discussion

This multicenter retrospective study, conducted across two tertiary chest disease centers, evaluated the clinical, spirometric, and laboratory outcomes associated with different treatment combinations in patients with ABPA(M). The principal finding of our analysis is that SS therapy remains the cornerstone of disease management; moreover, its use in combination with antifungal agents and/or biologic therapy—particularly omalizumab—yields the most substantial improvements in both functional and laboratory parameters. In our cohort, patients treated with a regimen of corticosteroids, itraconazole, and omalizumab demonstrated significant gains in FEV1 (mean increase >250 mL, approximately 10%) and ACT scores (mean improvement ≥3 points, indicating clinically meaningful enhancement of asthma control), accompanied by marked reductions in serum total IgE and PBEC. These findings highlight the synergistic benefit of concurrently attenuating airway inflammation and fungal burden while modulating IgE-mediated hypersensitivity.

Our results align with existing evidence demonstrating that systemic corticosteroids remain the first-line and most effective therapy for controlling acute inflammatory activity and preventing irreversible airway remodeling in ABPA.10,12 Corticosteroids downregulate Th2-mediated immune responses by suppressing IL-4, IL-5, and IL-13 signaling pathways, thereby reducing airway eosinophilia and IgE synthesis.13,20 The reductions in total IgE and PBEC observed in our study are comparable to earlier reports that documented a 40–60% decrease in these biomarkers following the initiation of corticosteroids.7,14 Nevertheless, steroid dependence, relapse, and treatment-related adverse effects continue to pose significant challenges, underscoring the importance of effective steroid-sparing strategies in long-term disease management.

Antifungal therapy, most commonly with itraconazole, is effective in reducing airway fungal burden and the associated antigenic stimulation. In our cohort, antifungal monotherapy (Group D) decreased the total IgE and PBEC levels in serum; however, these reductions did not reach statistical significance, nor were there meaningful improvements in FEV1 or ACT scores. In contrast, the addition of biologic therapy to itraconazole in the absence of systemic steroids (Group C) resulted in a significant reduction in total IgE levels, indicating a measurable anti-inflammatory effect. In randomized controlled trials conducted by Stevens and Wark, itraconazole administered as an add-on therapy to systemic steroids reduced serum IgE levels by 25–35%, improved asthma control, and allowed tapering of steroid dosage.13,14 Taken together, these findings suggest that a reduction in fungal burden alone is insufficient to restore airway function without adequate control of the underlying inflammation. This underscores that itraconazole demonstrates greater therapeutic benefit when used in conjunction with anti-inflammatory treatments, and that antifungal therapy should be considered an adjunct rather than a stand-alone modality in the management of ABPA.

In line with these observations, the 2024 ISHAM-ABPA Working Group guideline recommends the use of antifungal agents primarily as steroid-sparing adjunctive therapy aimed at reducing ongoing antigenic stimulation, rather than as standalone monotherapy.5 The guideline further notes that oral triazole antifungals, particularly itraconazole, demonstrate clinical efficacy comparable to systemic glucocorticoids; however, their onset of therapeutic improvement tends to be slower, while offering a more favorable safety profile.5,21,22 It also emphasizes that co-administration of oral itraconazole with methylprednisolone may increase the risk of exogenous Cushing’s syndrome and secondary adrenal insufficiency.23,24 Nonetheless, in patients with PBEC ≥1000 cells/µL and extensive bronchiectasis involving ≥10 segments, combination therapy with systemic corticosteroids and antifungal agents has been shown to reduce the one-year exacerbation rate in acute ABPA.25 Consistent with this, in our study, Group A—which exhibited the highest baseline PBEC levels—was treated with a systemic steroid-based regimen supplemented with omalizumab ± itraconazole.

Importantly, our study demonstrated that omalizumab significantly reduced serum IgE levels regardless of whether it was administered in combination with an SS or non-SS approach. Omalizumab exerts its effect by neutralizing free IgE, leading to downregulation of FcεRI expression on mast cells and basophils and thereby attenuating type 2 inflammation.19 Several case series and real-world studies have reported up to a 15% improvement in FEV1, reductions in exacerbation frequency, and notable steroid-sparing benefits in ABPA patients treated with omalizumab.17,18 Our findings are consistent with these observations, supporting the role of omalizumab as an effective adjunctive therapy in steroid-dependent or relapsing ABPA. In our cohort, four patients had developed steroid-dependent ABPA, and systemic corticosteroids could be completely discontinued following omalizumab treatment. Moreover, the ≥3-point improvement in ACT scores observed in Groups A and C reflects a clinically meaningful enhancement in symptom control.

Notably, the 2024 ISHAM guideline recognizes biologic therapies, including anti-IgE, anti-IL-5, and anti-IL-4R agents, as promising treatment options for refractory or steroid-dependent ABPA(M), further strengthening the rationale for biologic integration into management algorithms.5 However, in our country, omalizumab remains the only biologic agent reimbursed for ABPA treatment.

In our study, patients receiving omalizumab (Groups A and C) had lower baseline FEV1 values and poorer symptom control compared with other treatment groups. Although a trend toward improvement in lung function and symptom scores was observed following omalizumab therapy, these changes did not reach statistical significance. We attribute this to the relatively small sample size and the comparatively short duration of biologic therapy (approximately 16 weeks) in our cohort.

Interestingly, patients who did not receive SS demonstrated minimal improvement despite antifungal and omalizumab therapy. This finding suggests that an initial phase of systemic anti-inflammatory control is likely necessary to achieve optimal disease stabilization before the benefits of adjunctive biologic therapy can be fully realized. Taken together, these results support a stepwise, precision-based treatment approach for ABPA(M): initiating corticosteroids to induce remission, followed by antifungal therapy to suppress fungal persistence, and integrating biologic therapy such as omalizumab for sustained immunologic control and steroid-sparing benefit, an approach also emphasized by the ISHAM 2024 update, which advocates for individualized, stage-based treatment planning in ABPA management.5

Limitations and Future Perpectives

This study has several limitations inherent to its retrospective design. Treatment allocation was not randomized and was determined based on clinical judgment rather than protocolized assignment, which may have introduced selection bias. The sample size—particularly within the biologic treatment subgroups—was relatively limited, thereby reducing the statistical power of subgroup comparisons. Furthermore, standardized radiologic scoring systems (such as bronchiectasis severity indices or mucus plugging scores) were not applied, preventing evaluation of the relationship between immunologic improvement and structural lung recovery. Additionally, we did not assess the frequency or severity of ABPA exacerbations during follow-up, which represents another important limitation of our analysis.

Future prospective and randomized studies are warranted to define optimal sequencing and duration of biologic therapy in ABPA and to identify biomarkers predictive of treatment response. Endotype-based stratification—incorporating baseline IgE, eosinophil counts, and fungal-specific IgE/IgG profiles—may refine patient selection. The incorporation of quantitative radiologic tools and cost-effectiveness analyses is also critical to establish the role of biologics within the therapeutic hierarchy. Ultimately, a biomarker-guided, individualized treatment strategy—progressing from corticosteroids to antifungal agents to targeted biologic therapy—represents the most promising path toward long-term remission and reduced treatment toxicity in ABPA management.
It should be emphasized that the pre–post analyses performed in this study reflect within-group changes over time rather than direct comparisons between treatment groups. Accordingly, the lack of statistical significance observed in some subgroups should be interpreted cautiously and may be related to the relatively limited sample size, rather than indicating the absence of a true treatment effect.

Mandatory Disclosure on Use of Artificial Intelligence

The authors declare that no AI-assisted tools were used in the preparation of this manuscript. All references have been manually verified for accuracy and relevance.

Author Contributions

All authors contributed equally to this article.

Conflicts of Interests

The authors have no relevant financial interests to disclose.

Funding

None.

REFERENCES

1 Denning DW, O’Driscoll BR, Hogaboam CM, Bowyer P, Niven RM. The link between fungi and severe asthma: A summary of the evidence. Eur Respir J. 2006;27(3):615–26. 10.1183/09031936.06.00074705

2 Denning DW, Pashley C, Hartl D, Wardlaw A, Godet C, Del Giacco S, et al. Fungal allergy in asthma-state of the art and research needs. Clin Transl Allergy. 2014;4:14. 10.1186/2045-7022-4-14

3 Knutsen AP, Bush RK, Demain JG, Denning DW, Dixit A, Fairs A, et al. Fungi and allergic lower respiratory tract diseases. J Allergy Clin Immunol. 2012;129(2):280–91. 10.1016/j.jaci.2011.12.970

4 Agarwal R, Sehgal IS, Dhooria S, Muthu V, Prasad KT, Bal A, et al. Allergic bronchopulmonary aspergillosis. Indian J Med Res. 2020;151(6):529–49. 10.4103/ijmr.IJMR_1187_19

5 Agarwal R, Sehgal IS, Muthu V, Denning DW, Chakrabarti A, Soundappan K, et al. Revised ISHAM-ABPA working group clinical practice guidelines for diagnosing, classifying and treating allergic bronchopulmonary aspergillosis/mycoses. Eur Respir J. 2024;63(4):2400061.10.1183/13993003.00061-2024

6 Agarwal R, Aggarwal AN, Gupta D, Jindal SK. Aspergillus hypersensitivity and allergic bronchopulmonary aspergillosis in patients with bronchial asthma: Systematic review and meta-analysis. Int J Tuberc Lung Dis. 2009;13:936–44.

7 Greenberger PA. Allergic bronchopulmonary aspergillosis. J Allergy Clin Immunol. 2002;110(5):685–92. 10.1067/mai.2002.130179

8 Denning DW, Pleuvry A, Cole DC. Global burden of allergic bronchopulmonary aspergillosis with asthma and its complication chronic pulmonary aspergillosis in adults. Med Mycol. 2013;51:361–70. 10.3109/13693786.2012.738312

9 Schuyler M. The Th1/Th2 paradigm in allergic bronchopulmonary aspergillosis. J Lab Clin Med. 1998;131:194–6. 10.1016/S0022-2143(98)90089-0

10 Agarwal R, Chakrabarti A, Shah A, Gupta D, Meis JF, Guleria R, et al. Allergic bronchopulmonary aspergillosis: Review of literature and proposal of new diagnostic and classification criteria. Clin Exp Allergy. 2013;43:850–73. 10.1111/cea.12141

11 Agarwal R, Gupta D, Aggarwal AN, Behera D, Jindal SK. Allergic bronchopulmonary aspergillosis: Lessons from 126 patients attending a chest clinic in north India. Chest. 2006;130(2):442–8. 10.1378/chest.130.2.442

12 Patterson R, Greenberger PA, Radin RC, Roberts M. Allergic bronchopulmonary aspergillosis: Staging as an aid to management. Ann Intern Med. 1982;96(3):286–91. 10.7326/0003-4819-96-3-286

13 Stevens DA, Schwartz HJ, Lee JY, Moskovitz BL, Jerome DC, Catanzaro A, et al. A randomized trial of itraconazole in allergic bronchopulmonary aspergillosis. N Engl J Med. 2000;342(11):756–62. 10.1056/NEJM200003163421102

14 Wark PA, Hensley MJ, Saltos N, Boyle MJ, Toneguzzi RC, Epid GD, et al. Anti-inflammatory effect of itraconazole in stable allergic bronchopulmonary aspergillosis: A randomized controlled trial. J Allergy Clin Immunol. 2003;111(5):952–7. 10.1067/mai.2003.1388

15 Rapeport WG, Ito K, Denning DW. The role of antifungals in the management of patients with severe asthma. Clin Transl Allergy. 2020;10(1):46. 10.1186/s13601-020-00353-8

16 Moss RB. Treatment options in severe fungal asthma and allergic bronchopulmonary aspergillosis. Eur Respir J. 2014; 43(5):1487–500. 10.1183/09031936.00139513

17 Voskamp AL, Gillman A, Symons K, Sandrini A, Rolland JM, O’Hehir RE, et al. Clinical efficacy and immunologic effects of omalizumab in allergic bronchopulmonary aspergillosis. J Allergy Clin Immunol Pract. 2015;3(2):192–9. 10.1016/j.jaip.2014.12.008

18 Jaggi TK, Agarwal R, Tiew PY, Shah A, Lydon EC, Hage CA, et al. Fungal lung disease. Eur Respir J. 2024;64(5):2400803. 10.1183/13993003.00803-2024

19 Chen X, Zhi H, Wang X, Zhou Z, Luo H, Li J, et al. Efficacy of biologics in patients with allergic bronchopulmonary aspergillosis: A systematic review and meta-analysis. Lung. 2024;202(4):367–83. 10.1007/s00408-024-00717-y

20 Sumi T, Suzuki K, Koshino Y, Ikeda T, Yamada Y, Chiba H. Successful treatment of mucus plug due to allergic bronchopulmonary aspergillosis using dupilumab. Cureus. 2024;16(3):e55884. 10.7759/cureus.55884

21 Mümmler C, Kemmerich B, Behr J, Kneidinger N, Milger K. Differential response to biologics in a patient with severe asthma and ABPA: A role for dupilumab? Allergy Astıma Clin Immunol. 2020;16:55. 10.1186/s13223-020-00454-w

22 Agarwal R, Dhooria S, Singh Sehgal I, Aggarwal AN, Garg M, Saikia B, et al. A randomized trial of itraconazole vs prednisolone in acute-stage allergic bronchopulmonary aspergillosis complicating asthma. Chest. 2018;153(3):656–64. 10.1016/j.chest.2018.01.005

23 Lebrun-Vignes B, Archer VC, Diquet B, Levron JC, Chosidow O, Puech AJ, et al. Effect of itraconazole on the pharmacokinetics of prednisolone and methylprednisolone and cortisol secretion in healthy subjects. Br J Clin Pharmacol. 2001;51(5):443–50. 10.1046/j.1365-2125.2001.01372.x

24 Varis T, Kaukonen KM, Kivisto KT, Neuvonen PJ. Plasma concentrations and effect of oral methylprednisolone are considerably increased by itraconazole. Clin Pharmacol Ther. 1998;64(4):363–8. 10.1016/S0009-9236(98)90066-2

25 Agarwal R, Muthu V, Sehgal IS, Dhooria S, Prasad KT, Garg M, et al. A randomised trial of prednisolone versus prednisolone and itraconazole in acute-stage allergic bronchopulmonary aspergillosis complicating asthma. Eur Respir J. 2022;59(4): 2101787. 10.1183/13993003.01787-2021