Download

ORIGINAL ARTICLE

Efficacy of starting very-low-dose wheat intake in children with severe allergy: a retrospective study

Kosei Yamashita*, Takanori Imai, Midori Takahashi, Sawa Seki, Toshiyuki Takagi, Megumi Okawa, Aiko Honda, Chihiro Kunigami, Yuki Okada, Mayu Maeda, Taro Kamiya

Department of Pediatrics, Showa Medical University School of Medicine, Tokyo, Japan

Abstract

Background: In order to prevent total elimination of wheat from their diet, we introduced a very-low-dose (VLD) oral food challenge (OFC) in patients with severe wheat allergy in 2019.

Objective: This study investigated the efficacy of starting VLD wheat intake for achieving full-dose OFC.

Material and Methods: Patients with a history of overt allergic reactions to low-dose (LD; 80-mg wheat protein) wheat or lesser within 6 months and those with complete wheat elimination were included in the study. We retrospectively compared the proportion of passing a full-dose OFC (2650-mg wheat protein) between patients who underwent an LD OFC prior to 2019 (LD group) and those who underwent a VLD OFC (26.5-mg wheat protein) after 2019 (VLD group). The period for passing the full-dose OFC was evaluated using Kaplan–Meier survival analyses.

Results: We enrolled 200 and 58 patients in LD group and VLD group, respectively. The median age at OFC initiation was 2.1 (1.6–4.2) and 1.9 (1.4–3.6) years in LD group and VLD group, respectively. Wheat- and ω-5 gliadin-specific immunoglobulin E (IgE) levels were 25.2 (7.7–59.8) kUA/L and 2.5 (0.8–12.6) kUA/L, respectively, in the LD group and 21.9 (7.4–94.9) kUA/L and 3.3 (1.2–9.4) kUA/L, respectively, in the VLD group. Over 4 years, the LD group and VLD group passed the full-dose OFC at proportions of 50% and 75%, respectively, with a significant difference (Log-rank test, P < 0.01).

Conclusion: Starting VLD wheat intake may contribute to achieving a full-dose OFC in patients with severe wheat allergies.

Key words: food allergy, management, minimum avoidance, oral food challenge, wheat

*Corresponding author: Kosei Yamashita, Department of Pediatrics, Showa Medical University School of Medicine, 1-5-8, Hatanodai Shinagawa-Ku, Tokyo 142-8666, Japan. Email address: [email protected]

Received 30 June 2025; Accepted 1 November 2025; Available online 1 March 2026

DOI: 10.15586/aei.v54i2.1451

Copyright: Yamashita K, et al.
This open access article is licensed under Creative Commons Attribution 4.0 International (CC BY 4.0). http://creativecommons.org/licenses/by/4.0/

Introduction

Wheat is one of the most prevalent and causative foods for childhood food allergies (FAs) globally.14 In Japan, wheat accounts for 11.7% of immediate-type FAs with frequent induction of symptoms because of accidental ingestion.1 Therefore, managing FAs, including those caused by wheat, should involve minimally necessary elimination of causative foods based on an accurate diagnosis.1 Thus, to achieve effective management, appropriate threshold doses in each patient should be determined, considering their symptom induction thresholds. Additionally, the intake should be gradually increased based on the results of the oral food challenge (OFC).58 Japan adopts a universal health insurance system, enabling the OFC to be conducted as a part of insured medical services. Consequently, performing the OFC in hospital settings is recommended.1 The Japanese guidelines currently recommend a three-step approach to performing an OFC: low-dose (LD), medium-dose, and full-dose OFC.1 Previous reports have indicated that a stepwise OFC approach can be used to avoid the complete elimination of the causative food, thereby improving FA management and safety.9,10

However, in the cases of severe wheat FAs, approximately 50% of patients may exhibit immediate-type allergic symptoms even with the intake of wheat protein equivalent to 100 mg of wheat protein.11 Under the current management method using minimal necessary elimination, which involves evaluation of symptom-induced threshold level through the three-step OFC, many patients with severe wheat FA show positive LD OFC results. These patients should continue a complete elimination of causative food.

In such acute cases, oral immunotherapy (OIT) is a suitable approach.1215 However, wheat OIT is not as well studied as immunotherapy for other foods, such as milk, egg, and peanut. Furthermore, OIT can cause adverse reactions, including anaphylaxis; thus, it cannot be casually started in many cases.16

Therefore, in 2019, our institution introduced a very-low-dose (VLD) OFC to avoid the complete elimination of wheat in patients with severe wheat-induced FAs. The rationale was to administer a minimal amount of wheat to shorten the duration of complete elimination, with the ultimate goal of influencing the subsequent negativity proportion in full-dose OFC. Currently, the efficacy of VLD OFC on the full-dose OFC negativity proportion in wheat allergy management remains unclear.

Therefore, in this study, we aimed to investigate the effectiveness of introducing a VLD OFC in influencing the subsequent negativity proportion in full-dose OFC for wheat allergy management.

Materials and Methods

Study design and population

This retrospective, single-center cohort study included patients diagnosed with immunoglobulin E (IgE)-related wheat allergy who underwent wheat OFC at Showa Medical University Hospital between January 1, 2012 and December 31, 2024. The inclusion criteria regarding patients who underwent wheat OFC were as follows: a clear history of immediate allergic reactions to ≤80 mg of wheat protein or positive OFC to similar doses within the past 6 months, and complete wheat elimination at the time of visit to our institution.The patients were categorized into the following two groups: those who underwent LD OFC prior to 2019 (LD group) and those who underwent VLD OFC from 2019 onwards (VLD group). Blood tests were performed within 6 months of the initial OFC to confirm sensitization to wheat- or ω-5 gliadin-specific IgE (sIgE) levels ≥0.7 kUA/L. Patients who underwent OFC to confirm the threshold for initiating OIT were excluded. Patients who discontinued follow-up at our hospital during the study or transitioned to OIT were considered dropouts. Patients who were missing laboratory and clinical data were excluded.

This study was conducted according to the principles of the 1965 Declaration of Helsinki (as revised in Brazil in 2013), and the Ethics Committee of Showa Medical University School of Medicine approved all procedures (No. 2024-221-A). The families and guardians provided written informed consent.

Outcome definition

The minimum dose for performing the wheat OFC prior to 2019 was 80-mg wheat protein (LD). However, 26.5-mg wheat protein (VLD) was subsequently introduced from 2019 onwards. Since then, VLD OFC has been conducted based on the attending physician’s assessment of patients with a history of allergic reaction induction after ingesting <80-mg wheat protein or those with high wheat or ω-5 gliadin-sIgE levels.11,17

The primary outcome in the LD and VLD groups was the duration from the first LD OFC to a negative full-dose OFC (2650-mg wheat protein) and from the first VLD OFC to a negative full-dose OFC, respectively. Secondary outcome measures included an assessment of the safety of the initial LD and VLD OFC. Subgroup analysis within the VLD group assessed the duration from the first VLD OFC to achieving negative results in the LD OFC (80-mg wheat protein) and medium-dose OFC (640-mg wheat protein). The analysis also included an evaluation of age at the time of undergoing VLD OFC negativity and duration from the first VLD OFC to the negative full-dose OFC.

Stepwise OFC protocols for wheat

The details of OFC protocol are described in the text (Figure 1). VLD OFC was performed as part of diagnostic and management strategies. However, these procedures were not intended as formal OIT protocols. OFC used udon noodles. Udon is a popular noodle made from wheat, water, and salt, and is eaten regularly in Japan. The LD group underwent management through a three-level stepwise OFC, which included LD (3-g udon–80-mg wheat protein), medium-dose (24-g udon–640-mg wheat protein), and full-dose (100-g udon–2650-mg wheat protein) wheat administration. However, the VLD group was managed through a four-level stepwise OFC. In addition to the three-level stepwise OFC (low-, medium-, and full-dose OFC), the VLD group underwent a VLD OFC (1-g udon–26.5-mg wheat protein).

Figure 1 Wheat OFC consumption protocol and study flow chart. Notes: LD: low dose; VLD: very low dose; OFC: oral food challenge; OIT: oral immunotherapy.

In the event of negative results of each OFC, the participants were advised to continue consuming wheat until the follow-up after OFC at home, with the negative amount as the upper limit. Patients were instructed to consume udon at home, using a measuring instrument, to ensure precise and consistent intake. The frequency of ingestion at home was left to the parents’ discretion; however, ingestion was recommended at least two times weekly. The patient was instructed to take udon once daily and monitor for any signs of allergic reactions for 2 h following each intake. Subsequently, the next step of OFC was conducted 3–6 months later. An allergy specialist individually determined the timing for progressing to the next step of OFC based on the patient’s medical history and laboratory test results. In cases where allergy symptoms appeared at home, the patients were advised to reduce the intake by one step. For instance, if symptoms appeared at the medium dose (24-g udon), the intake was reduced to the lower dose (3-g udon). If allergic symptoms occurred at the LD (3-g udon) in the LD group or at the VLD (1-g udon) in the VLD group, complete elimination was advised; the patients were instructed to seek immediate outpatient treatment.

Furthermore, if anaphylactic or similar symptoms occurred, wheat intake was to be discontinued, and patients were advised to seek immediate outpatient care. For positive results in each OFC, the participants were advised to continue ingestion at a smaller level at home, with the dose at one step being below the level at which a positive reaction occurred, following the same protocol. However, complete removal guidance was provided if a positive result occurred in the LD OFC in the LD group or the VLD OFC in the VLD group. In participants with a positive outcome at a given OFC level, a rechallenge was considered based on the severity of induced symptoms. An allergy specialist made the decision to perform a rechallenge. After assessing the severity of allergic symptoms and monitoring changes in total and specific IgE levels, an OFC was conducted again after an appropriate interval.

Oral food challenges were conducted based on the Japanese guidelines for FAs.1 OFCs using udon were conducted in a hospital setting under the supervision of a board-certified allergist at our institution. To minimize the potential influence of medications on the test results, antihistamines and leukotriene receptor antagonists were discontinued 3 days and 1 day prior to the OFC, respectively.1 Participants were observed for 3 h following wheat ingestion to monitor for adverse reactions. If the allergist responsible for OFC confirmed that the patient had a positive result with Sampson grade ≥2 symptoms,18 antihistamines and inhaled beta-adrenergic agonists were administered to patients with cutaneous and respiratory symptoms, respectively. Adrenaline was also administered intramuscularly at the lateral thigh. Grade 1 symptoms were classified as indeterminate and were reassessed at home. Therefore, to confirm the reproducibility of allergic symptoms, patients were instructed to consume udon repeatedly at home. A patient continued to ingest udon repeatedly at home and was considered to have a negative test result if no allergic symptoms appeared. However, the test result was considered positive if reproducible allergic symptoms appeared at home.

Laboratory tests

Serum levels of total IgE and specific IgE to wheat and ω-5 gliadin were measured using Immuno CAP® (Phadia; Thermo Fisher Scientific, Waltham, MA, USA) 6 months prior to the first OFC.

Statistical analysis

Kaplan–Meier curves were used for descriptive analyses of the duration until LD, median-dose, and full-dose OFC negative results were obtained. Data were collected up to December 31, 2024. Patients were considered lost to follow-up if they dropped out of the study. Notably, all patients were followed up from baseline until a negative full-dose OFC result was obtained or censoring. The baseline was defined as the date of the LD OFC prior to 2019 or the date of the VLD OFC after 2019. Kaplan–Meier curves were analyzed from the date of baseline to the date of full-dose OFC negativity. The Chi-squared or Mann–Whitney U test was used to perform between-group comparisons of the characteristics, the differences between categorical and continuous variables, and the safety of the first OFC. The relationship between the factors and failure to achieve a full-dose OFC negative was assessed using the Log-rank test and Cox proportional hazards regression for univariate and multivariate analyses, respectively. A logistic regression analysis was conducted, with the dependent variable set as failure to achieve a full-dose OFC negative. Significant factors were primarily extracted from the univariate model and used as explanatory variables. The independent variables included were as follows: age at the initiation of OFC, gender (male), past history of anaphylaxis to wheat, atopic dermatitis, asthma, other FAs, total IgE levels, specific IgE levels for ω-5 gliadin, and membership in the LD group, which was adjusted accordingly. Statistical significance was set at P < 0.05. Numerical values were presented as numbers (%) and medians (interquartile range [IQR]). Notably, all analyses were performed using JMP Pro 17 (SAS Institute, Cary, NC).

Results

The number of patients enrolled in the LD and VLD groups was 276 and 112, respectively. After excluding those who met the exclusion criteria, the analysis included 200 and 58 patients in the LD and VLD groups, respectively (Figure 1). The characteristics of the patients included in the study are presented in Table 1. The two groups showed no significant differences in background. The median OFC interval was 4 months (IQR, 3–6 months).

Table 1 Characteristics

LDe group n=200 VLDf group n=58 P value
Age at OFCc started (years) 2.1 [1.6-4.2] 1.9 [1.4-3.6] 0.30a>
Male. Gender, n (%) 144 (69) 35 (60) 0.09b>
Past history of Anaphylaxis to wheat, n (%) 90 (45) 24 (41) 0.63b>
Allergic complications
  Atopic dermatitis, n (%) 62 (31) 17 (29) 0.81b>
  Asthma, n (%) 49 (25) 12 (17) 0.55b>
Total IgEd level (IU/mL) 409 [143-854] 386 [200-990] 0.47a>
Wheat-specific IgEd (kUA/L) 25.2 [7.7-59.8] 21.9 [7.4-94.9] 0.85a>
ω-5 gliadin-specific IgEd (kUA/L) 2.5 [0.8-12.6] 3.3 [1.2-9.4] 0.32a>

Variables are expressed % (n) or median [interquartile range].

aMann-Whitney U test

bChi-squared test

cOFC: oral food challenge.

dIgE: immunoglobulin E.

eLD: low dose.fVLD: very low dose.

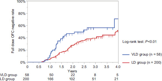
The Kaplan–Meier curve for the negative proportion of full-dose OFC is shown in Figure 2. A significant difference was observed between the VLD and LD groups, with the VLD group having a higher negative proportion for full-dose OFC (P < 0.01). Four years after the initial LD OFC or VLD OFC, the full-dose OFC negative proportions were 50% and 75%, respectively.

Figure 2 Full-dose OFC negative rate. Note. LD: low dose; VLD: very low dose.

The safety of the initial LD and VLD OFC in the LD and VLD groups, respectively, is presented in Table 2. The positive proportions in each group were 133 (66%) and 30 (52%) in the LD and VLD groups, respectively (P = 0.04). The proportions of skin and neurological symptoms were significantly lower in the VLD group.

Table 2 Safety of first OFC

LDc group n=200 VLDd group n=58 P value
OFCb positive rate, n (%) 133 (66) 30 (52) 0.04a
Anaphylaxis, n (%) 25 (13) 4 (7) 0.23a
Organ system affected, n (%)
  Skin 50 (25) 6 (10) 0.02a
  Respiratory 35 (18) 5 (9) 0.10a
  Gastrointestinal 18 (9) 4 (7) 0.61a
  Neurological 25 (13) 1 (2) 0.02a
  Cardiovascular 9 (5) 1 (2) 0.34a
Treatment
  Antihistamines, n (%) 16 (8) 4 (7) 0.78a
  Inhaled beta adrenergic agonists, n (%) 17 (9) 4 (7) 0.69a
Intramuscular adrenaline, n (%) 5 (3) 1 (2) 0.73a
Variables are expressed % (n).

aChi-squared test

bOFC: oral food challenge.

cLD: low dose.

dVLD: very low dose.

Regarding the subgroup analysis, the graph depicting the time to achieve a negative result for VLD, LD, medium-dose, and full-dose OFC in the VLD group is shown in Figure 3. The time for 50% of patients to achieve a negative result was 0.8, 1.6, and 2.5 years for low-, medium-, and full-dose OFC, respectively. The subsequent status of full-dose OFC negativity was evaluated longitudinally based on the age at which a negative result was confirmed for VLD OFC (Figure 4). The results indicated that the older the age at which a negative result was confirmed for VLD OFC, the less likely it was to achieve a negative result for full-dose OFC. Above 3 years of age, the VLD OFC negativity proportion was low at less than 40%. When VLD OFC negativity was achieved before the age of 3 years, the full-dose OFC negativity proportion was high.

Figure 3 Individual-dose OFC negative rate in VLD group (n = 58). Notes: VLD: very low dose; OFC: oral food challenge. Negative rate of OFC at each dose level in the VLD group (n = 58). Very low, low, medium, and full dose levels are shown. Numbers indicate the remaining patients at each dose.

Figure 4 Full-dose OFC negative rate by age in VLD group (n = 58). Notes: VLD: very low dose; OFC: oral food challenge.

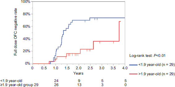
Furthermore, since the median age was 1.9 years, we categorized the VLD group into two subgroups: those with an undergone VLD OFC at <1.9 years and those at ≥1.9 years. Subsequently, we analyzed negative proportion for full-dose OFC (Figure 5). The results showed that patients who underwent VLD OFC at <1.9 years had a significantly higher full-dose OFC negativity proportion than those who underwent VLD OFC at ≥1.9 years (Log-rank test P < 0.01).

Figure 5 Full-dose OFC negative rate between <1.9- and ≥1.9-year old at VLD OFC negative (n = 58). Notes: VLD: very low dose; OFC: oral food challenge.

A multivariate analysis was conducted to identify risk factors that could inhibit a negative result in full-dose OFC. The results revealed that being in the LD group was the only significant factor (adjusted hazards ratio, 2.93 [1.88–4.62]; P < 0.01) (Table 3).

Table 3 Risk factor for failure to induce full-dose OFC negative in univariate and multivariate analyses

HRe (95% CI) p value aHRe (95% CI)a p value
Age at OFCb a started 1.57 (1.28–1.73) < 0.01 1.02 (0.77–1.19) 0.84
Male 1.51 (0.96–2.39) 0.08 1.44 (0.45–4.57) 0.53
Past history of anaphylaxis to wheat 1.84 (0.97–3.50) 0.06 1.12 (0.95–2.02) 0.07
Atopic Dermatitis 1.66 (0.31–2.15) 0.12 1.65 (0.53–4.87) 0.38
Asthma 1.15 (1.05–1.34) 0.01 1.17 (0.93–1.56) 0.09
Total IgEc (log 10) 0.55 (0.36–0.86) < 0.01 0.63 (0.19–1.99) 0.44
Specific IgE to ω5-gliadin (log 10) 1.96 (1.36–2.72) < 0.01 1.01 (0.45–2.42) 0.08
LDd group 2.10 (1.33–3.23) < 0.01 2.93 (1.88–4.62) <0.01

aAdjusted for age at OFC started, gender (Male), past history of anaphylaxis to wheat, atopic dermatitis, asthma, the level of total IgE, the level of specific IgE to ω5-gliadin, and LD group.bOFC: oral food challenge;

cIgE: immunoglobulin E;

dLD: low dose;eHR: hazard ratio; aHR: adjusted hazards ratio.

Discussion

In this study, we investigated whether initiating VLD intake influenced the negativity proportion in tolerance for wheat allergy management. This study’s results indicated that introducing a VLD OFC for patients with severe wheat allergies—thereby starting wheat intake early and avoiding complete elimination (early small ingestion [ESI])—effectively increased the threshold for wheat and ultimately induced tolerance. This finding will significantly impact the fundamental strategies for managing wheat allergies in the future.

The proportion of natural tolerance acquisition for wheat allergy in Japan is reportedly 66% by the age of 6 years.19 Other reports on the proportion of the natural tolerance acquisition for wheat allergy include 52% by the age of 8 years in Poland20 and 56% by the age of 8 years in the United States.21 These reports do not account for severity; therefore, we infer that the proportion of natural tolerance acquisition for acute cases is likely to be lower. However, the proportion of full-dose OFC negative in the VLD group, which included more acute cases, was comparable to the proportions of natural tolerance acquisition reported in Japan and other countries. These results suggest that the ESI strategy can be applied to all children with wheat allergies. Furthermore, it is particularly significant in patients with more severe FAs.

Despite similar patient backgrounds between the VLD and LD groups, proportion of the higher negative full-dose OFC observed in the VLD group is attributed to the fact that patients who underwent the VLD challenge avoided complete elimination and started intake at an earlier stage. Previous studies have suggested that the duration of complete elimination influences tolerance acquisition.22 Using multivariate analysis, the results similarly indicated that being in the LD group was the sole risk factor. The initiation of symptom-free ingestion of the causative food also increases this threshold, as supported by OIT studies.12

Furthermore, we have conducted similar analyses in patients with hen’s egg allergies and demonstrated that avoiding complete elimination and starting with a small intake at an early stage can induce tolerance.10 The guidelines in Japan also recommend that assessing the reintroduction of wheat in all children presenting with wheat allergy is advised, as prolonged total exclusion may lead to more persistent allergy and increase dietary and social exclusion.1 Therefore, this study supports the importance of minimally necessary elimination.

In the VLD group, a significant difference was observed in the induction of full-dose OFC negativity based on whether wheat intake started before or after the age of 1.9 years. Reports have indicated that initiating small amounts of wheat intake early in patients with a history of immediate reactions to it and in those requiring complete elimination can lead to early tolerance acquisition.22 Similar findings have been reported for peanut FAs, where early introduction has been effective.23,24 This study’s results suggest that starting wheat intake at a VLD at a younger age can shorten the period of complete elimination and induce tolerance earlier.

However, in patients whose VLD OFC results are positive and who must adhere to complete elimination, future research should likely focus on implementing OFC with even smaller amounts than VLD to further evaluate the efficacy of the ESI strategy. Additionally, this study’s results do not necessarily indicate that the patients have acquired complete tolerance to wheat. This is due to several factors, including the possibility of allergic reactions when consuming amounts greater than those set for the full-dose OFC. A risk of allergic reactions may occur if wheat is consumed after a specific period of avoidance or under conditions of stress, including exercise or illness. These risks have been well documented in studies on OIT.2527 The patients in this study were originally those with severe wheat allergies with a history of allergic reactions to small amounts of wheat intake. The ESI strategy involves continuous intake of small amounts repeatedly and gradual increase while confirming the rise in threshold levels, which is similar to OIT. Therefore, caution is required when confirming tolerance acquisition in these patients.

The importance of ensuring the safety of FA treatments, such as through OFC, has been recently emphasized in clinical practice.1 Our comparison of the safety of initial LD OFC and VLD OFC demonstrated that VLD OFC poses a lower risk. This finding indicates the effectiveness of VLD OFC and its greater utility than LD OFC. However, given that anaphylactic symptoms were induced in a certain number of cases, comprehensive risk management remains essential. Therefore, patients and their guardians must be fully informed of the risks associated with OFC.

In this study, the frequency of ingestion at home was set at a minimum of two times per week; however, it is possible that the frequency of ingestion influenced the outcomes. Recently, the impact of the ingestion frequency of causative foods on the development of tolerance has gained increasing attention in FA management. For instance, a study involving infants with egg allergy demonstrated that the group with more frequent intake of heated egg (≥5 times per month) showed a significantly higher proportion of tolerance acquisition than the group with lower intake frequency (1–4 times per month).28 This finding suggests that ingestion frequency contributes to the development of tolerance. Nonetheless, the current research lacks consistency in the definition and measurement of ingestion frequency, presenting challenges in comparison and reproducibility. Moreover, to clarify the causal relationship between ingestion frequency and tolerance acquisition, the future studies should control for other influencing factors, including the amount of food ingested and the methods of food preparation. Standardization of ingestion frequency will be crucial in future investigations. Such standardization is expected to elucidate the role of ingestion frequency in preventing and managing FAs and contribute to developing evidence-based clinical guidelines.

This study has some limitations. First, the intervals between OFCs were nonuniform, based on the individual judgment of the outpatient primary physicians. However, the impact on outcomes was considered minimal because the policy regarding the interval for progressing to the next OFC did not change at the research facility during the periods, and the same protocol was used at a single facility when the LD and VLD groups were implemented. Second, this study lacked detailed information on the frequency of home ingestion in all patients. The frequency of ingestion might have affected the threshold. However, since the guidance for ingestion frequency at home did not change between the two groups, the difference between the groups was considered minimal. Third, safety at home was not evaluated in all patients. Continuous ingestion was performed at home after confirming OFC negativity; however, induction of allergy symptoms, usage of medication, and frequency of hospital visits were not evaluated. Conversely, despite the long-term implementation of VLD OFC at our institution, no cases required discontinuation or modification because of the procedure. The number of patients experiencing anaphylaxis or anaphylactic shock at home requiring administration of adrenaline is considered as extremely low. Fourth, the sensitization status in all patients in this study was not confirmed using a skin prick test. Finally, this was a retrospective, single-center study. Therefore, standardizing patient backgrounds, including wheat allergy severity and the age at which OFC was initiated, proves difficult. The future research should involve prospective, multicenter studies that include various food items to determine whether similar management strategies could lead to an increase in the threshold.

Conclusion

This study revealed that introducing a VLD OFC for early intake as part of the ESI strategy effectively reduces the period of complete elimination of wheat in patients with severe wheat allergies. This approach increases the likelihood of obtaining subsequent negative results for the full-dose OFC. Therefore, as a treatment strategy for patients with wheat allergy, irrespective of severity, early implementation of the ESI strategy is anticipated to efficiently induce tolerance.

Mandatory Disclosure on Use of Artificial Intelligence

The authors declare that no AI-assisted tools were used in the preparation of this manuscript. All references have been manually verified for accuracy and relevance.

Acknowledgments

We thank all patients who participated in this study and their parents. This study did not receive any funding. We would like to thank Editage (www.editage.jp) for English language editing.

Author Contributions

All authors contributed equally to this article.

Conflict of Interest

The authors declared no potential conflict of interest with respect to research, authorship, and/or publication of this article.

Funding

None.

REFERENCES

1 Ebisawa M, Ito K, Fujisawa T. Japanese guidelines for food allergy 2020. Allergol Int. 2020;69:370–86. 10.1016/j.alit.2020.03.004

2 Bartha I, Almulhem N, Santos AF. Feast for thought: A comprehensive review of food allergy 2021–2023. J Allergy Clin Immunol. 2024;153:576–94. 10.1016/j.jaci.2023.11.918

3 Spolidoro GCI, Ali MM, Amera YT, Nyassi S, Lisik D, Ioannidou A, et al. Prevalence estimates of eight big food allergies in Europe: Updated systematic review and meta-analysis. Allergy. 2023;78:2361–417. 10.1111/all.15560

4 Lee ECK, Trogen B, Brady K, Ford LS, Wang J. The natural history and risk factors for the development of food allergies in children and adults. Curr Allergy Asthma Rep. 2024;24:121–31. 10.1007/s11882-024-01131-3

5 Sampson HA, Arasi S, Bahnson HT, Ballmer-Weber B, Beyer K, Bindslev-Jensen C, et al. AAAAI-EAACI PRACTALL: Standardizing oral food challenges-2024 update. Pediatr Allergy Immunol. 2024;35:e14276. 10.1111/pai.14276

6 Santos AF, Riggioni C, Agache I, Akdis CA, Akdis M, Alvarez-Perea A, et al. EAACI guidelines on the diagnosis of IgE-mediated food allergy. Allergy. 2023;78:3057–76. 10.1111/all.15906

7 Itonaga T, Yanagida N, Nagakura KI, Asaumi T, Tokunaga M, Nishino M, et al. Three-year prognosis after low-dose oral food challenge for children with wheat allergy. Allergol Int. 2024;73:416–21. 10.1016/j.alit.2024.01.004

8 Sato S, Yanagida N, Ebisawa M. How to diagnose food allergy. Curr Opin Allergy Clin Immunol. 2018;18:214–21. 10.1097/ACI.0000000000000441

9 Yanagida N, Minoura T, Kitaoka S, Ebisawa M. A three-level stepwise oral food challenge for egg, milk, and wheat allergy. J Allergy Clin Immunol Pract. 2018;6:658–60.e10. 10.1016/j.jaip.2017.06.029

10 Yamashita K, Maeda M, Imai T, Takagi T, Okawa M, Honda A, et al. Efficacy of very-low-dose oral food challenge in children with severe hen egg allergy: A retrospective, single-center case series. Allergol Int. 2024;73:543–9. 10.1016/j.alit.2024.05.006

11 Yanagida N, Sato S, Nagakura KI, Takahashi K, Fusayasu N, Miura Y, et al. Relationship between serum allergen-specific immunoglobulin E and threshold dose in an oral food challenge. Pediatr Allergy Immunol. 2023;34:e13926. 10.1111/pai.13926

12 Leeds S, Belmont A, Winfield H, Nowak-Wegrzyn A. A practical focus on wheat oral immunotherapy. J Food Allergy. 2022;4:136–43. 10.2500/jfa.2022.4.220029

13 Nowak-Węgrzyn A, Wood RA, Nadeau KC, Pongracic JA, Henning AK, Lindblad RW, et al. Multicenter, randomized, double-blind, placebo-controlled clinical trial of vital wheat gluten oral immunotherapy. J Allergy Clin Immunol. 2019;143:651–61.e9. 10.1016/j.jaci.2018.08.041

14 Sugiura S, Kitamura K, Makino A, Matsui T, Furuta T, Takasato Y, et al. Slow low-dose oral immunotherapy: Threshold and immunological change. Allergol Int. 2020;69:601–9. 10.1016/j.alit.2020.03.008

15 Ogura K, Yanagida N, Sato S, Imai T, Ito K, Kando N, et al. Evaluation of oral immunotherapy efficacy and safety by maintenance dose dependency: A multicenter randomized study. World Allergy Organ J. 2020;13:100463. 10.1016/j.waojou.2020.100463

16 Kulmala P, Pelkonen AS, Kuitunen M, Paassilta M, Remes S, Schultz R, et al. Wheat oral immunotherapy was moderately successful but was associated with very frequent adverse events in children aged 6–18 years. Acta Paediatr. 2018;107:861–70. 10.1111/apa.14226

17 Hwang Y, Kim J, Ahn K, Jeong K, Lee S, Hong SJ, et al. Diagnostic decision point for IgE-mediated wheat allergy in children. Allergy Asthma Immunol Res. 2024;16:555–61. 10.4168/aair.2024.16.5.555

18 Sampson HA. Anaphylaxis and emergency treatment. Pediatrics. 2003;111:1601–8. 10.1542/peds.111.S3.1601

19 Koike Y, Yanagida N, Sato S, Asaumi T, Ogura K, Ohtani K, et al. Predictors of persistent wheat allergy in children: A retrospective cohort study. Int Arch Allergy Immunol. 2018;176:249–54. 10.1159/000489337

20 Czaja-Bulsa G, Bulsa M. The natural history of IgE-mediated wheat allergy in children with dominant gastrointestinal symptoms. Allergy Asthma Clin Immunol. 2014;10:12. 10.1186/1710-1492-10-12

21 Keet CA, Matsui EC, Dhillon G, Lenehan P, Paterakis M, Wood RA. The natural history of wheat allergy. Ann Allergy Asthma Immunol. 2009;102:410–5. 10.1016/S1081-1206(10)60513-3

22 Adam T, Divaret-Chauveau A, Roduit C, Adel-Patient K, Deschildre A, Raherison C, et al. Complementary feeding practices are related to the risk of food allergy in the ELFE cohort. Allergy. 2023;78:2456–66. 10.1111/all.15828

23 Du Toit G, Brown KR, Vereda A, Irani AM, Tilles S, Ratnayake A, et al. Oral immunotherapy for peanut allergy in children 1 to less than 4 years of age. NEJM Evid. 2023;2:EVIDoa2300145. 10.1056/EVIDoa2300145

24 Jones SM, Kim EH, Nadeau KC, Nowak-Wegrzyn A, Wood RA, Sampson HA, et al. Efficacy and safety of oral immunotherapy in children aged 1–3 years with peanut allergy (the Immune Tolerance Network IMPACT trial): A randomised placebo-controlled study. Lancet. 2022;399:359–71. 10.1016/S0140-6736(21)02390-4

25 Manabe T, Sato S, Yanagida N, Hayashi N, Nishino M, Takahashi K, et al. Long-term outcomes after sustained unresponsiveness in patients who underwent oral immunotherapy for egg, cow’s milk, or wheat allergy. Allergol Int. 2019;68:527–8. 10.1016/j.alit.2019.02.012

26 Kubota S, Kitamura K, Matsui T, Takasato Y, Sugiura S, Ito K. Exercise-induced allergic reactions after achievement of desensitization to cow’s milk and wheat. Pediatr Allergy Immunol. 2021;32:1048–55. 10.1111/pai.13479

27 Tsuji G, Matsui T, Takasato Y, Kitamura K, Kubota S, Sugiura S, et al. Exercise-induced allergic reactions in children desensitized to hen’s eggs and cow’s milk by oral immunotherapy. J Allergy Clin Immunol Pract. 2023;11:3187–94. 10.1016/j.jaip.2023.06.062

28 Peters RL, Dharmage SC, Gurrin LC, Koplin JJ, Ponsonby AL, Lowe AJ, et al. The natural history and clinical predictors of egg allergy in the first 2 years of life: A prospective, population-based cohort study. J Allergy Clin Immunol. 2014;133:485–91. 10.1016/j.jaci.2013.12.596, 10.1016/j.jaci.2013.11.032