Download

ORIGINAL ARTICLE

IFN-γ cocultured mesenchymal stem cells promote substantial immunomodulatory effects in mice models of allergic asthma

Tao Chena, Jiaojiao Hua, Yanping Shia, Xia Lia, Yujun Wanga, Seyyed Shamsadin Atharib, Entezar Mehrabi Nasabc,d, Jingning Guoa*

aDepartment of Integrated Traditional Medicine & Western Medicine, Xi’an Children’s Hospital, Xi’an, China

bDepartment of Immunology, School of Medicine, Zanjan University of Medical Sciences, Zanjan, Iran

cDepartment of Cardiology, School of Medicine, Mousavi Hospital, Zanjan University of Medical Sciences, Zanjan, Iran

dDepartment of Cardiology, School of Medicine, Tehran Heart Center, Tehran University of Medical Sciences, Tehran, Iran

Abstract

Asthma is a debilitating lung disease characterized by airway inflammation and airflow obstruction. Immune cells, particularly T helper 2 (Th2) lymphocytes, are central players in the pathogenesis of asthma and mesenchymal stem cells (MSCs) have shown the capability of softening pathological inflammatory responses in asthma. Hence, we researched the immunopathologic effects MSCs cocultured with interferon (IFN)-γ, the main Th1 cytokine, in asthmatic mice. After isolation, MSCs were cocultured with IFN-γ and administered to asthmatic mice. Subsequent analyses included enumeration of broncho-alveolar lavage (BAL) fluid’s inflammatory cells, determination of the levels of immunoglobulin E (IgE), leukotrienes (LTs), cytokines, chemokines, and histopathology assessment. The administration of IFN-γ-cocultured MSCs reduced the percentage of eosinophils in the BAL fluid and levels of IgE, LTs, cytokines, and chemokines. Also, there was a decrease in the eosinophilic infiltration of perivascular areas and periairways. IFN-γ cocultured MSCs could modulate immune responses and harness pathological events in allergic asthma.

Key words: stem cell, immune response, allergy, lung, biomedicine

*Corresponding author: J.Guo, Department of Integrated Traditional Medicine & Western Medicine, Xi’an Children’s Hospital, Xi’an, China. Email address: [email protected]

Received 27 February 2025; Accepted 16 April 2025; Available online 1 July 2025

DOI: 10.15586/aei.v53i4.1348

Copyright: Chen T, et al.
License: This open access article is licensed under Creative Commons Attribution 4.0 International (CC BY 4.0). http://creativecommons.org/licenses/by/4.0/

Introduction

Asthma is a noncommunicable lung disease characterized by airway inflammation and airflow obstruction. More than 350 million people across the world suffer from asthma, imposing a high economic burden not only on families but also on the health systems.14 Pathological events in asthma are the outcomes of intricate interactions between several types of immune cells within the asthmatic niche, predominantly T helper 2 (Th2) and eosinophils. From a mechanistic standpoint, asthma is categorized into the allergic and nonallergic forms. Allergic asthma is quite often triggered from the overproduction of immunoglobulin E (IgE), leading to the active recruitment of Th2 cells into bronchioles via releasing different types of cytokines such as interleukin (IL)-4, IL-5, and IL-13, and also their upper hand cytokines IL-25 and IL-33.59

Stem cells possess a great variety of characteristics or qualities, including plasticity and the ability to translocate to inflamed tissues, where they promote their regulatory effects on immune cells. Adult bone marrow (BM) stem cells encompass different lineages such as mesenchymal stem cells (MSCs), hematopoietic stem cells (HSCs), and endothelial progenitor cells (EPCs). The transplantation of MSCs has shown impressive results for tissue repair and healing by modulating inflammatory reactions, promoting collagen deposition in the lung parenchyma, recruiting immune cells, rebalancing the Th1/Th2 ratio, and changing the dynamics of pro- and anti-inflammatory cytokines.10,11 MSCs can easily migrate toward inflammatory sites in response to the gradients of cytokines’ concentrations, which are capable of suppressing pathological tissue remodeling and inflammatory responses in asthma. It seems that the therapeutic effects of MSCs are mainly promoted for their potential in releasing an array of mediators acting in a paracrine manner to modify cell-based and humoral immune responses.10,12,13

The aim of this study was to investigate the potential therapeutic role of MSCs pretreated with interferon (IFN)-γ in suppressing pathophysiological events in mice models of allergic asthma and the applicability of manipulated stem cells as an antiasthma therapy.

Materials and Methods

MSCs isolation, culturing, and priming

BM-derived MSCs (BM-MSCs) were isolated and cultured, as described previously. Briefly, tibia and fibula of mice were cut and after flashing, MSCs were extracted by seeding in specific culture media. During incubation, the medium was changed every 3 days. The characterization and differentiation of MSCs were performed using specific markers. Finally, MSCs were cocultured with IFN-γ at concentrations of 50 ng/mL and 100 ng/mL for 24 hours. Next, the cells were collected for transplantation.1418

Mouse asthma model

Allergic asthma Bagg Albino (BALB/c) mouse model was created by administering ovalbumin (OVA) with alum adjuvant via the intraperitoneal (IP) route; also, OVA solution was delivered to the lungs via a nebulizer for sensitization and the challenge test, according to previous studies.2,5,8,9 Mice were kept in standard housing conditions (temperature 20–24⁰C, humidity 50–60%, 12 hours dark/light cycle, free access to food and water) and allocated to four groups: allergic asthma (group A), healthy control (group B, receiving Phosphate buffered saline [PBS]), and two experimental groups in which mice with allergic asthma were treated with MSCs cocultured with either 50 ng/mL (group M50) or 100 ng/mL (group M100) IFN-γ on day 25. On day 31, all mice were euthanized for obtaining samples.

BAL fluid cells

The broncho-alveolar lavage (BAL) fluid was collected from the lung and used to prepare tissue smears after cell separation, and then stained to determine the percentage of eosinophils. The supernatant (liquid portion) was used for other experiments or measurements beyond the initial separation.

IgE level

The level of total serum IgE was measured in serum by an enzyme-linked immunosorbent assay (ELISA) kit using samples collected on day 31.

Luminex assay

A multiplex kit was used to measure cytokines, chemokines, growth factors, IL-4, IL-5, and IL-13, and eotaxin in BAL fluid, according to the manufacturer’s instructions.

Leukotrienes’ levels

After centrifugation for cell separation, the supernatant of the BAL fluid was used to measure leukotriene (LT) C4 and LTB4 levels using specific ELISA kits.

Histopathology

To prepare the histopathology sections, the lungs of the mice were isolated and then fixed, which were subsequently stained with hematoxylin and eosin (H&E), Alcian blue (AB), Periodic Acid Schiff (PAS), H&E-Trichrome, H&E-PAS, and AB-PAS. The tissues were evaluated under light microscopy to survey mucus production in airways, goblet cell metaplasia, and perivascular and periairway eosinophilic inflammation.2,5,8,9

Statistical analysis

All results were expressed as means ± SD (standard deviation). Differences between experimental groups were analyzed by the independent student t-test and a P-value of 0.05 or lower was considered statistically significant. GraphPad Prism 6 software was used to analyze and present the data.

Results

BAL fluid cells

The percentage of eosinophils was elevated in the BAL fluid samples of asthmatic mice (67%) compared to the control group (4%). The administering of MSCs cocultured with IFN-γ (50 ng/mL or 100 ng/mL) could significantly decrease (p < 0.05) the eosinophil percentage in the BAL fluid (M50: 40% and M100: 39%).

IgE level

The level of IgE was increased in mice with allergic asthma (2816 ng/mL) compared to healthy control animals (127 ng/mL) (Figure 1) as well as asthmatic mice treated with MSCs cocultured with either 50 ng/mL or 100 ng/mL IFN-γ (M50 = 2005 ng/mL and M100 = 2093 ng/mL).

Figure 1 IgE serum level. The total IgE level was measured in sera of mice.

Cytokine levels

The levels of main Th2 cytokines (IL-4, IL-5, and IL-13) related to allergic asthma pathophysiology and eotaxin were significantly higher in asthmatic mice (101 pg/mL, 111 pg/mL, 182 pg/mL, and 64 pg/mL, respectively) compared to control animals (38 pg/mL, 43 pg/mL, 69 pg/mL, and 19 pg/mL, respectively) (Figure 2). The administering of MSCs cocultured with IFN-γ could significantly reduce the levels of these cytokines and the chemokine (p < 0.05) except for IL-13, whose decline was not statistically significant (p > 0.05).

Figure 2 Levels of inflammatory mediators. The levels of the main allergy-associated cytokines, IL-4, IL-5, and IL-13 as well as eotaxin as the main allergy-related chemokine were measured in BAL fluid samples.

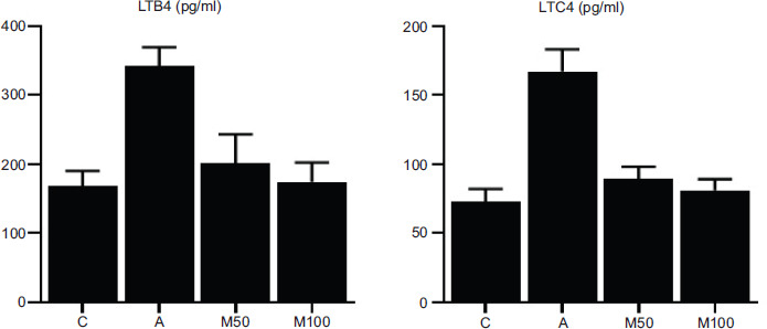
Levels of LTs

The levels of LTB4 and LTC4 were significantly elevated in asthmatic animals (342 ng/mL and 167 ng/mL, respectively) compared to controls (168 ng/mL and 73 ng/mL, respectively, p < 0.05) (Figure 3). In asthmatic mice treated with MSCs cocultured with IFN-γ, the levels of these LTs were significantly reduced (p < 0.05).

Figure 3 Leukotriene assessment. The levels of LTB4 and LTC4 were evaluated in BAL fluid of all mice.

Histopathology

In asthmatic mice, mucus production in airways, goblet cell metaplasia, and perivascular and periairway eosinophilic infiltration were remarkable in comparison to control animals (p < 0.05) (Figures 4 and 5). The treatment with MSCs cocultured with IFN-γ could significantly decrease perivascular and periairway eosinophilic inflammation (p < 0.05) but not mucus production in airways or goblet cell metaplasia (p > 0.05) compared to the control.

Figure 4 Histopathological staining. Lung sections of four groups of mice (C, A, M50, and M100) were prepared and stained with H&E, H&E-AB-PAS, H&E-PAS, AB-PAS, PAS, and H&E-AB (left to right, respectively).

Figure 5 Histopathological findings. Eosinophilic inflammation in the perivascular and peribronchial areas, mucus production, and goblet cell metaplasia were assessed.

Discussion

MSCs isolated from different tissue sources show excellent restorative capacity, with BM being the primary source for MSC isolation.19,20 It has been elucidated that MSCs isolated from the placenta and adipose tissues elicit robust immunomodulatory effects in experimental allergic asthma models compared to MSCs isolated from the BM.21,22 Recent research evaluating the antiasthmatic properties of placental MSCs within the pulmonary niche showed that these cells could mitigate eosinophil infiltration into the BAL fluid, reduce IgE and IL-4 production, interrupt lymphocyte polarization toward Th2, and restore mucus generation and goblet cell proliferation to near-normal levels.10,23 In another study, the administration of placental-derived MSCs upregulated IL-10, reduced IL-17, and blunted the Th17/Treg ratio in asthma models.24 The intratracheal administration of MSCs from three different tissues (BM, adipose tissue, and lungs) modulated structural remodeling and inflammatory responses in allergic asthma animal models possibly via favoring distinct secretome profiles, leading to distinct outcomes.25 In our study, the level of eotaxin and the percentage of eosinophils in the BAL fluid were reduced in asthmatic mice administered with MSCs (pretreated with IFN-γ).

Furthermore, MSCs well known for their immunomodulatory capacity without causing adverse immunogenic responses. Even in the presence of type 1 cytokines such as IFN-γ, MSCs acquire immunosuppression phenotype and preserve their immunomodulatory properties by producing prostaglandin E2 and indoleamine 2,3-dioxygenase.26 MSCs seem to promote their immunomodulatory effects in asthma by harnessing immune responses at the site of inflammation.2730 These cells have the ability to balance the Th2/Th1 ratio, the synthesis of interleukins (such as IL-13, IL-5, and IL-4), and IgE as well as mucus production after residing in the asthmatic niche. Additionally, in the presence of IFN-γ, MSCs could abort untamed allergic responses.3032 In this study, MSCs cocultured with IFN-γ reduced total IgE level in the sera of asthmatic mice as well as the levels of the main Th2 cytokines (IL-4, IL-5, and IL-13), indicating a shift from Th2 to Th1 immune responses. Moreover, MSCs exposed to IFN-γ could control mucus production in airways, but this was not statistically significant.

The control of the Th2 immune response can be an efficient strategy to control allergic reactions in asthma.2932 It has been reported that BM-MSCs administered by the IP route can easily migrate to the pulmonary niche and modulate allergic asthma reactions via exerting immunomodulatory effects shortly after treatment.33,34 In addition to immunomodulatory properties, other mechanisms have been suggested to explain the antiasthmatic effects of MSCs, such as mitochondria transference, cell fusion, transdifferentiation, and paracrine effects mediated via microvesicles and exosomes.35 Data have shown that MSCs promote tissue regeneration through transferring mitochondria in response to external stimuli, a process that can induce tunnel tube formation, gap junctional channels, and Rho-(guanosine triphosphate)GTPases such as Miro1 in damaged cells.36,37 A study reported that the administration of pluripotent stem cell-derived MSCs via the intratracheal route improved mitochondrial dysfunction in epithelial cells.38 In addition to mitochondrial transfer, MSCs can inhibit both mitochondrial and nonmitochondrial apoptosis signaling pathways.39 Besides, MSCs administration via the intravenous route could mitigate pulmonary microvascular inflammation through engaging autophagy-related effectors and inhibiting miR-142a-5p in endothelial cells during ischemia/reperfusion in asthma animal models.40,41 In this research, perivascular and periairway eosinophilic inflammation was significantly enhanced in asthmatic mice, which markedly subsided after the administration of MSCs cocultured with IFN-γ. It has been shown that MSCs decrease inflammatory responses in different asthma models by altering Th2-derived cytokines and other factors affecting the function of these cells.10,42 In our study, we also noticed that goblet cell metaplasia was significantly increased in asthmatic mice and that the administration of MSCs could partly reverse these changes.

IFN-γ priming has been shown to profoundly affect MSCs’ immunomodulatory properties. It is believed that for executing their immunosuppressive function, MSCs need a “license” granted to them by IFN-γ as a key immune regulator cytokine. The survival and functional efficacy of MSCs seem to correlate with IFN-γ level.16 The immunomodulatory effects of MSCs and their potential immunosuppressive activity toward CD4+ T lymphocytes isolated from house dust mite sensitive asthmatic patients (Der p1+) were observed to be mediated via IFN-γ.15 In fact, IFN-γ primed MSCs to modulate T cell responses by producing anti-inflammatory mediators. Also, in allergic asthma, MSCs could deviate Th2 responses via activating T regulatory cells.15 In this study, the increased levels of LTB4 and LTC4 in asthmatic mice subsided after the administration of MSCs and IFN-γ cocultured MSCs.

MSCs have been noted to facilitate cell proliferation and accelerate the repair of damaged tissues by secreting fibroblast growth factor (FGF), vascular endothelial growth factor (VEGF), hepatocyte growth factor (HGF), and keratinocyte growth factor (KGF). These stem cells also activate regulatory T cells, triggering the production of anti-inflammatory cytokines, which could subsequently suppress airway inflammation in asthma, suggesting that administering MSC can be a useful cell therapy approach for asthma.43 Moreover, MSCs can suppress the proliferation of stimulated peripheral blood mononuclear cells (PBMCs), the differentiation of monocyte-derived immature dendritic cells (DCs), and overproduction of immunomodulatory cytokines. Prior treatment of MSCs with IFN-γ augmented their antiapoptotic effects on lymphocytes, promoted the generation of CD4 + CD25 + FOXP3 + Treg cells, and increased the viability of CD4 + T lymphocytes in asthma models, which was accompanied by the suppression of IL-9 (a proinflammatory cytokine) but the induction of FOXP3 (an anti-inflammatory transcription factor).44 MSCs not only attenuated pathological remodeling in the lungs of asthmatic mice but also suppressed pulmonary inflammatory responses, evidenced by the lower eosinophilic inflammation and airway hyperresponsiveness (AHR) as well as the shifted Th1:Th2 ratio.45 Intratracheal MSC administration was reported to modulate the activity of macrophages in the lung and ameliorate type 2 airway inflammation and AHR. In particular, MSC therapy reduced M2a and M2c macrophages and suppressed the antigen-presenting capacity of DCs. Previous studies noted that MSCs could decrease airway remodeling, goblet cell hyperplasia, and the thickness of the basement membrane/subepithelial smooth muscle layer.4648 Hence, MSC therapy, especially cells already exposed to IFN-γ, might be a promising strategy to control immunopathologic events in allergic asthma and mitigate nonprotective immune responses in asthmatic lungs. In this study, there were some limitations—the treatment was not studied in chronic asthma model and was not evaluated in other animal models. Several inflammatory and allergic biofactors were not evaluated.

Ethics Approval and Consent to Participate

This study was approved by the ethic committee of animal house of ix.med.vet.dep, 2024 (No. IX.MED.VET.DEP.REC.2024.0100012.6).

Consent for Publication

Not applicable.

Availability of Data and Materials

Data are available on request from the corresponding author.

Acknowledgments

Not applicable.

Author Contributions

TC, JH, YS, XL, YW, SSA, EMN, and JG participated in the planning of project, animal study, laboratory testing, analysis of data, and writing of the manuscript.

Conflicts of Interest

There is no conflicts of interest.

Funding

This study was supported by the Youth Project of Xi’an Children’s Hospital Fund (Project Number: 2023D12).

REFERENCES

1 Athari SS, Athari SM. The importance of eosinophil, platelet and dendritic cell in asthma. Asian Pac J Trop Dis. 2014;4(1):41–7. 10.1016/S2222-1808(14)60413-8

2 Athari SM, Nasab EM, Athari SS. Study effect of Ocimum basilicum seeds on mucus production and cytokine gene expression in allergic asthma mice model. Rev Fr Allergol. 2018;58(7):489–93. 10.1016/j.reval.2018.08.003

3 Lankarani KB, Honarvar B, Athari SS. The mechanisms underlying helicobacter pylori-mediated protection against allergic asthma. Tanaffos. 2017;16(4):251–9.

4 Qian L, Nasab EM, Athari SM, Athari SS. Mitochondria signaling pathways in allergic asthma. J Investig Med. 2022;70(4):863–82. 10.1136/jim-2021-002098

5 Nasab EM, Athari SM, Motlagh B, Athari SS. Effects of oral administration of Ocimum basilicum on goblet cell hyperplasia and upstream cytokine gene expression in allergic asthma. Rev Fr Allergol. 2020;60:64–8. 10.1016/j.reval.2019.02.226

6 Arora P, Athari SS, Nainwal LM. Piperine attenuates production of inflammatory biomarkers, oxidative stress and neutrophils in lungs of cigarette smoke-exposed experimental mice. Food Biosci. 2022;49:101909. 10.1016/j.fbio.2022.101909

7 Nasab EM, Makoei RH, Athari HA, Athari SS. IL-33/ST2 pathway as upper-hand of inflammation in allergic asthma contributes as predictive biomarker in heart failure. ESC Heart Fail. 2022;9(6):3785–90. 10.1002/ehf2.14111

8 Jiang J, Nasab EM, Athari SM, Athari SS. Effects of vitamin E and selenium on allergic rhinitis and asthma pathophysiology. Respir Physiol Neurobiol. 2021;286:103614. 10.1016/j.resp.2020.103614

9 Hajimohammadi B, Athari SM, Abdollahi M, Vahedi G, Athari SS. Oral administration of acrylamide worsens the inflammatory responses in the airways of asthmatic mice through agitation of oxidative stress in the lungs. Front Immunol. 2020;11:1940. 10.3389/fimmu.2020.01940

10 Mirershadi F, Ahmadi M, Rezabakhsh A, Rajabi H, Rahbarghazi R, Keyhanmanesh R. Unraveling the therapeutic effects of mesenchymal stem cells in asthma. Stem Cell Res Ther. 2020;11(1):400. 10.1186/s13287-020-01921-2

11 Huang M, Nasab EM, Athari SS. Immunoregulatory effect of mesenchymal stem cell via mitochondria signaling pathways in allergic asthma. Saudi J Biol Sci. 2021;28:6957–62. 10.1016/j.sjbs.2021.07.071

12 Bao X-H, Gao F, Athari SS, Wang H. Immunomodulatory effect of IL-35 gene-transfected mesenchymal stem cells on allergic asthma. Fundam Clin Pharmacol. 2023;37(1):116–24. 10.1111/fcp.12823.

13 Hou C, Sun F, Liang Y, Nasab EM, Athari SS. Effect of transduced mesenchymal stem cells with IL-10 gene on control of allergic asthma. Allergol Immunopathol (Madr). 2023;51(2):45–51. 10.15586/aei.v51i2.789

14 Yang X, Du J, Xu X, Xu C, Song W. IFN-γ-secreting-mesenchymal stem cells exert an antitumor effect in vivo via the TRAIL pathway. J Immunol Res. 2014:2014:318098:. 10.1155/2014/318098

15 Genc D, Zibandeh N, Nain E, Arı˘g Ü, Göker K, Aydıner EK, et al. IFN-γ stimulation of dental follicle mesenchymal stem cells modulates immune response of CD4+ T lymphocytes in Der p1+ asthmatic patients in vitro. Allergol Immunopathol (Madr). 2019;47(5):467–76. 10.1016/j.aller.2018.12.005

16 Kim DS, Jang IK, Lee MW, Ko YJ, Lee D-H, Lee JW, et al. Enhanced immunosuppressive properties of human mesenchymal stem cells primed by interferon-γ. EBioMedicine. 2018;28:261–73. 10.1016/j.ebiom.2018.01.002

17 Wobma HM, Kanai M, Ma SP, Shih Y, Li HW, Duran-Struuck R, et al. Dual IFN-γ/hypoxia priming enhances immunosuppression of mesenchymal stromal cells through regulatory proteins and metabolic mechanisms. J Immunol Regen Med. 2018;1:45–56. 10.1016/j.regen.2018.01.001

18 Bayati F, Valadi M, Ahmadi A, Najafi F, Ansaripour B, Sharif-Paghaleh E. Evaluation of immunomodulatory effects of co-culture or supernatant of dexamethasone or IFN-γ-treated adipose-derived mesenchymal stem cells on spleen mononuclear cells. Eur Cytokine Netw. 2022;33(3):70–8. 10.1684/ecn.2022.0482

19 Vizoso FJ, Eiro N, Costa L, Esparza P, Landin M, Diaz-Rodriguez P, et al. Mesenchymal stem cells in homeostasis and systemic diseases: Hypothesis, evidences, and therapeutic opportunities. Int J Mol Sci. 2019;20(15):3738. 10.3390/ijms20153738

20 Mosna F, Sensebe L, Krampera M. Human bone marrow and adipose tissue mesenchymal stem cells: A user’s guide. Stem Cells Dev. 2010;19(10):1449–70. 10.1089/scd.2010.0140

21 Melief SM, Zwaginga JJ, Fibbe WE, Roelofs H. Adipose tissue-derived multipotent stromal cells have a higher immunomodulatory capacity than their bone marrow-derived counterparts. Stem Cells Transl Med. 2013;2(6):455–63. 10.5966/sctm.2012-0184

22 Li X, Bai J, Ji X, Li R, Xuan Y, Wang Y. Comprehensive characterization of four different populations of human mesenchymal stem cells as regards their immune properties, proliferation and differentiation. Int J Mol Med. 2014;34(3):695–704. 10.3892/ijmm.2014.1821

23 Li Y, Qu T, Tian L, Han T, Jin Y, Wang Y. Human placenta mesenchymal stem cells suppress airway inflammation in asthmatic rats by modulating notch signaling. Mol Med Rep. 2018;17(4):5336–43. 10.3892/mmr.2018.8462

24 Li Y, Li H, Cao Y, Wu F, Ma W, Wang Y, et al. Placenta-derived mesenchymal stem cells improve airway hyperresponsiveness and inflammation in asthmatic rats by modulating the Th17/Treg balance. Mol Med Rep. 2017;16(6):8137–45. 10.3892/mmr.2017.7605

25 Abreu SC, Antunes MA, Xisto DG, Cruz FF, Branco VC, Bandeira E, et al. Bone marrow, adipose, and lung tissue-derived murine mesenchymal stromal cells release different mediators and differentially affect airway and lung parenchyma in experimental asthma. Stem Cells Transl Med. 2017;6(6):1557–67. 10.1002/sctm.16-0398

26 Bernardo ME, Fibbe WE. Mesenchymal stromal cells: Sensors and switchers of inflammation. Cell Stem Cell. 2013;13(4):392–402. 10.1002/sctm.16-0398

27 Urbanek K, De Angelis A, Spaziano G, Piegari E, Matteis M, Cappetta D, et al. Intratracheal administration of mesenchymal stem cells modulates tachykinin system, suppresses airway remodeling and reduces airway hyperresponsiveness in an animal model. PLoS One. 2016;11(7):e0158746. 10.1371/journal.pone.0158746

28 Hoffman AM, Paxson JA, Mazan MR, Davis AM, Tyagi S, Murthy S, et al. Lung-derived mesenchymal stromal cell post-transplantation survival, persistence, paracrine expression, and repair of elastase-injured lung. Stem Cells Dev. 2011;20(10):1779–92. 10.1089/scd.2011.0105

29 Nystedt J, Anderson H, Tikkanen J, Pietilä M, Hirvonen T, Takalo R, et al. Cell surface structures influence lung clearance rate of systemically infused mesenchymal stromal cells. Stem Cells. 2013;31(2):317–26. 10.1002/stem.1271

30 Nemeth K, Keane-Myers A, Brown JM, Metcalfe DD, Gorham JD, Bundoc VG, et al. Bone marrow stromal cells use TGF-beta to suppress allergic responses in a mouse model of ragweed-induced asthma. Proc Natl Acad Sci U S A. 2010;107(12):5652–7. 10.1073/pnas.0910720107

31 Goodwin M, Sueblinvong V, Eisenhauer P, Ziats NP, LeClair L, Poynter ME, et al. Bone marrow-derived mesenchymal stromal cells inhibit Th2-mediated allergic airways inflammation in mice. Stem Cells. 2011;29(7):1137–48. 10.1002/stem.656

32 Park HK, Cho KS, Park HY, Shin DH, Kim YK, Jung JS, et al. Adipose-derived stromal cells inhibit allergic airway inflammation in mice. Stem Cells Dev. 2010;19:1811–8. 10.1089/scd.2009.0513

33 Işık S, Karaman M, Adan A, Kıray M, Bağrıyanık HA, Sözmen ŞÇ, et al. Intraperitoneal mesenchymal stem cell administration ameliorates allergic rhinitis in the murine model. Eur Arch Otorhinolaryngol. 2017;274(1):197–207. 10.1007/s00405-016-4166-3

34 Sakine I, Nevin U, Meral K, Özkan K, Müge K, İlknur K, et al. Effects of intraperitoneal injection of allogeneic bone marrow-derived mesenchymal stem cells on bronchiolitis obliterans in mice model. Iran J Allergy Asthma Immunol. 2017;16(3):205–18.

35 Liang X, Ding Y, Zhang Y, Tse H-F, Lian Q. Paracrine mechanisms of mesenchymal stem cell-based therapy: Current status and perspectives. Cell Transplant. 2014;23(9):1045–59. 10.3727/096368913X667709

36 Paliwal S, Chaudhuri R, Agrawal A, Mohanty S. Regenerative abilities of mesenchymal stem cells through mitochondrial transfer. J Biomed Sci. 2018;25(1):31. 10.1186/s12929-018-0429-1

37 Ahmad T, Mukherjee S, Pattnaik BR, Kumar M, Singh S, Rehman R, et al. Miro 1 knockdown in stem cells inhibits mitochondrial donation mediated rescue of bronchial epithelial injury. Biophysical J. 2013;104(2, suppl. 1):659a. 10.1016/j.bpj.2012.11.3638

38 Yao Y, Fan X-L, Jiang D, Zhang Y, Li X, Xu Z-B, et al. Connexin 43-mediated mitochondrial transfer of iPSC-MSCs alleviates asthma inflammation. Stem Cell Reports. 2018;11(5):1120–35. 10.1016/j.stemcr.2018.09.012

39 Okazaki T, Magaki T, Takeda M, Kajiwara Y, Hanaya R, Sugiyama K, et al. Intravenous administration of bone marrow stromal cells increases survivin and Bcl-2 protein expression and improves sensorimotor function following ischemia in rats. Neurosci Lett. 2008;430(2):109–14. 10.1016/j.neulet.2007.10.046

40 Li J, Zhou J, Zhang D, Song Y, She J, Bai C. Bone marrow-derived mesenchymal stem cells enhance autophagy via PI3K/AKT signalling to reduce the severity of ischaemia/reperfusion-induced lung injury. J Cell Mol Med. 2015;19(10):2341–51. 10.1111/jcmm.12638

41 Zhou Z, You Z. Mesenchymal stem cells alleviate LPS-induced acute lung injury in mice by MiR-142a-5p-controlled pulmonary endothelial cell autophagy. Cell Physiol Biochem. 2016;38(1):258–66. 10.1159/000438627

42 Habibian R, Delirezh N, Farshid AA. The effects of bone marrow-derived mesenchymal stem cells on ovalbumin-induced allergic asthma and cytokine responses in mice. Iran J Basic Med Sci. 2018; 21(5):483–8.

43 Moghaddasi K, Hesaraki S, Arfaee F, Athari SS. Investigating the effect of mesenchymal stem cells on the rate of clinical and pathological improvement of asthmatic lung in mouse model. Regen Ther. 2024; 25:157–61. 10.1016/j.reth.2023.12.013

44 Huang S, Li Y, Zeng J, Chang N, Cheng Y, Zhen X, et al. Mesenchymal stem/stromal cells in asthma therapy: Mechanisms and strategies for enhancement. Cell Transplant. 2023;32:1–20. 10.1177/09636897231180128

45 Shin JW, Ryu S, Ham J, Jung K, Lee S, Chung DH, et al. Mesenchymal stem cells suppress severe asthma by directly regulating Th2 cells and type 2 innate lymphoid cells. Mol Cells. 2021;44(8):580–90. 10.14348/molcells.2021.0101

46 Kim RL, Bang J-Y, Kim J, Mo Y, Kim Y, Lee C-G, et al. Mesenchymal stem cells exert their anti-asthmatic effects through macrophage modulation in a murine chronic asthma model. Sci Rep. 2022;12:9811. 10.1038/s41598-022-14027-x

47 Mo Y, Kang H, Bang J-Y, Shin JW, Kim HY, Cho S-H, et al. Intratracheal administration of mesenchymal stem cells modulates lung macrophage polarization and exerts anti-asthmatic effects. Sci Rep. 2022;12:11728. 10.1038/s41598-022-14846-y

48 Choi JY, Hur J, Jeon S, Jung CKRhee CK. Effects of human adipose tissue and bone marrow-derived mesenchymal stem cells on airway inflammation and remodeling in a murine model of chronic asthma. Sci Rep. 2022;12:12032. 10.1038/s41598-022-16165-8