Download

ORIGINAL ARTICLE

Biomarkers of response to omalizumab in patients with chronic spontaneous urticaria

Özge Öztürk Aktaşa,b*, Dilek Öksüzer Çimşirb, Esra Nur Bülbülb, Neyran Şerbetçib, Türkan Zeynep Fendoğlub, Esra İnanb, Begüm Görgülü Akınb, Şengül Beyazb, Zeynep Çelebi Sözenerc, Şadan Soyyiğita,b

aDepartment of Allergy and Clinical Immunology, Bilkent City Hospital, Ankara, Turkey, Yildirim Beyazit University School of Medicine, Ankara ,Turkey

bDepartment of Allergy and Clinical Immunology, Bilkent City Hospital, Ankara, Turkey

cDepartment of Allergy and Clinical Immunology, Ankara University Faculty of Medicine, Ankara, Turkey

Abstract

Background and Objectives: Managing chronic spontaneous urticaria (CSU) resistant to anti-histamines remains challenging, and predictors of omalizumab efficacy are not fully understood. This study evaluated omalizumab’s effectiveness, response patterns, and predictors in CSU patients.

Materials and Methods: A retrospective analysis was conducted on 72 patients receiving omalizumab for at least six months. Factors influencing response to anti-IgE therapy were examined.

Results: Among the 72 patients with chronic spontaneous urticaria (CSU), 86.1% responded to omalizumab: 58.3% had a good response (UAS-7 <6), 27.8% showed a partial response, and 13.9% were non-responders. Baseline total IgE levels were significantly higher in responders compared to non-responders (good: 291.4 kUA/L vs. 60.2 kUA/L, p = 0.003; partial: 148 kUA/L vs. 60.2 kUA/L, p = 0.049). ROC analysis identified a total IgE cut-off of 64 kUA/L for predicting omalizumab response (AUC: 0.67, p = 0.019; sensitivity: 82%, specificity: 48%). Non-responders had significantly higher erythrocyte sedimentation rates (20.0 mm/h vs. 8.25 mm/h, p = 0.018). Patients with recurrence post-treatment had elevated thyroid-stimulating hormone (TSH) and C-reactive protein (CRP) levels (p = 0.006, p = 0.007). Among responders, 29% had an early response and 71% a late response. Early responders had significantly lower anti-thyroglobulin (anti-TG) and antinuclear antibody (ANA) positivity (p = 0.036, p = 0.035). Systemic inflammatory indices (SII, SIRI) did not predict response.

Conclusions: Baseline total IgE may predict omalizumab response, while ANA and anti-TG positivity correlate with delayed response. Elevated TSH and CRP levels may indicate a higher recurrence risk after treatment discontinuation.

Key words: chronic spontaneous urticaria, immunoglobulin E, omalizumab, urticaria activity score

*Corresponding author: Özge Öztürk Aktaş, Department of Allergy and Clinical Immunology, Bilkent City Hospital, Ankara, Turkey, Yildirim Beyazit University School of Medicine, Ankara, Turkey. Email address: [email protected]

Received 24 February 2025; Accepted 23 April 2025; Available online 1 July 2025

DOI: 10.15586/aei.v53i4.1343

Copyright: Aktaş ÖÖ, et al.
License: This open access article is licensed under Creative Commons Attribution 4.0 International (CC BY 4.0). http://creativecommons.org/licenses/by/4.0/

Introduction

Chronic spontaneous urticaria (CSU) is characterized by the spontaneous appearance of wheals and angioedema, lasting for a duration of more than 6 weeks.1 It has a global prevalence of 1% in the general population. The course and duration of CSU are unpredictable, causing prolonged suffering for many patients. Chronic spontaneous urticaria is debilitating, causing a decline in quality of life and negatively impacting performance at work and school.1,2 Chronic urticaria (CU) is believed to be mediated by functional autoantibodies targeting the alpha chain of the high-affinity immunoglobulin E (IgE) receptor or IgE itself in 30–50% of cases.3,4 Histamine, mediators, and cytokines generated by activated skin mast cells stimulate sensory neurons, induce vasodilation, increase permeability, and recruit cells to form urticarial lesions.1 Furthermore, the coagulation cascade is triggered mostly through the extrinsic pathway. This pathway is activated by the increased presence of tissue factor on activated eosinophils. Therefore, the coagulation cascade is associated with the seriousness of the disease, as evidenced by the increased levels of D-dimer, a substance indicating the activation of blood clotting and breakdown, in the blood of CSU patients.5

Omalizumab is the only approved treatment for urticaria patients who do not have satisfactory results from second-generation H1-antihistamine treatment. Omalizumab, an anti-IgE medication, has demonstrated high efficacy and safety in the treatment of CSU.6,7 Omalizumab binds free IgE in the serum and downregulates FcεRI on mast cells and basophils in CSU.8

Clinical features and laboratory indicators in CSU are associated with disease duration, response to treatment, and disease activity. Although not definitive indicators, these factors can assist clinicians in advising their patients regarding the seriousness and anticipated duration of their illness, as well as the expected outcomes of treatment.9 Some studies examine the characteristics of patients with early/late responses and good/partial responses to omalizumab.10,11 This study evaluated potential predictive biomarkers and response phenotypes in patients diagnosed with CSU and receiving omalizumab treatment.

Material and Methods

Study design

A retrospective analysis was performed on patients with CSU at the Allergy and Clinical Immunology Department of a tertiary university hospital in Ankara from June 2019 to December 2022. Data were obtained from the electronic medical records of patients diagnosed with CSU. The ethical review board of Ankara City Hospital approved the study.

Study population, treatment response and relapse

Patients diagnosed with CSU and receiving omalizumab (300 mg/4 weeks) treatment for at least 6 months were included in the study. Inclusion criteria required a minimum UAS7 score of 16 to ensure that only patients with at least moderate disease activity were enrolled, in accordance with international guidelines. The 7-day urticaria activity score (UAS-7) was used to evaluate clinical symptoms at months 0, 1, 2, 3, 5, and 6, and the clinical characteristics of the patients were recorded.

Treatment groups were defined according to the urticaria activity score as the group that responded well to treatment (UAS-7 ≤ 6), the group that partially responded (UAS-7 7–15), and the group that did not respond (UAS-7 > 16).12 Subgroup analysis was performed among patients who responded to omalizumab (partial and good responders). According to the duration of response to treatment, groups were determined as early responders (<1 month) and late responders (>1 month).13 Relapse was defined as returning symptoms after discontinuation following a successful response to omalizumab treatment in a 3-month follow-up period.

Laboratory markers

Baseline serum levels of total IgE, counts of basophils, monocytes, lymphocytes, eosinophils, and neutrophils, and platelets, systemic inflammation response index (SIRI) [(neutrophil count × monocyte count)/lymphocyte count], and systemic immune-inflammation index (SII) [(neutrophil count × platelet count)/lymphocyte count] were calculated. For further analysis, baseline values of antinuclear antibodies (ANA), thyroid peroxidase antibodies (Anti-TPO), serum C-reactive protein level (CRP), total IgE, erythrocyte sedimentation rate (ESR), anti-thyroglobulin antibody (Anti-TG), and thyroid-stimulating hormone (TSH) were recorded.

Statistical analysis

The Statistical Package for the Social Sciences (SPSS) Ver. 27 program was used for the statistical analyses; categorical variables were calculated using frequency, and continuous variables were calculated using the mean ± standard deviation for normally distributed variables and the median (IQR) for non-normally distributed variables. ANOVA for continuous parameters and the Pearson chi-square test for categorical factors were used to evaluate the difference among the three clusters and between early responders, late responders, and non-responders. Interval variables of the two groups were analyzed using the t-test. A p-value of <0.05 was considered significant.

Results

Patient characteristics

The study included 72 patients with chronic urticaria who did not respond to antihistamines, met the criteria for omalizumab treatment for a minimum of 6 months, and were followed up for at least three months. The clinical characteristics of the patients are shown in Table 1.

Table 1 Clinical characteristics of the patients.

All patients All patients (n = 72) Good responders (n=42) Partial responders (n=20) Non-responders (n=10) p-value
Age in years, mean (SD) 37.4 (±11.8) 37.5 (±12.6) 35.9 (11) 39.9 (9.1) NS*
Female, n (%) 50 (±69.4) 27 (±64.3) 15 (75) 8 (80) NS*
Angioedema, n (%) 41 (±56.9) 24 (±57.1) 9 (45) 8 (80) NS*
BMI (kg/m2), mean ± SD 27.1 (±4.3) 26.9 (±3.9) 26.1 (4.2) 30 (4.9) NS*
CSU follow- up duration, months, median (IQR) 14 (6-42) 15 (6-39) 14 (6-42) 13.5 (6-21) NS*
Baseline UAS7, median (IQR) 35 (6-43) 38 (20-63) 31.5 (7-42) 28 (14-42) 0.595
Sedimentation, mean ± SD 11 (±8.8) 11.05 (±7.7) 11 (±9.8) 15 (±10) 0.018
SIRI, mean ± SD 1145 ± 1327 1275 ± 1673 878.0 ± 498 1145 ± 711 0.555
SII, mean ± SD 727,743 ± 432 740,262 ± 472 607,474 ± 228 916,955 ± 529 0.434
Basophil (/mL), mean ± SD 28.9 ± 30 30 ± 36 27 ± 18 26 ± 26 0.889
Eosinophil (/mL), mean ± SD 150.5 ±113.2 136 ± 110 178 ± 109 153 ± 131 0.412
Lymphocyte (103/mL), mean ± SD 2.3 ± 0.5 2.2 ± 0.5 2.4 ± 0.6 2.0 ± 0.5 0.274
Monocyte (103/mL), mean ± SD 0.4 ± 0.2 0.4 ± 0.2 0.4 ± 0.2 0.3 ± 0.9 0.587
Neutrophil (103/mL), mean ± SD 5.4 ± 2.4 5.6 ± 2.9 4.9 ± 1.5 5.4 ± 1.3 0.611
Platelet (103/mL), mean ± SD 294 ± 75 207 ± 86 279 ± 44 309 ± 1.4 0.551
WBC (103/mL). mean ± SD 8.4 ± 2.6 8.6 ± 3.1 8.0 ± 2.0 8.2 ± 1.4 0.703

*NS: Not-significant.

The mean age of the patients was 37.4 ± 11.8 years. Of the patients, 42% were female, and frequently, urticaria was accompanied by angioedema (56.9%). The mean body mass index (BMI) was 27.1 (± 4.3). The median follow-up period was 14 months (IQR: 6–42 months). The initial omalizumab dose was 300 mg for all patients. In our study, dose escalation of omalizumab was limited due to its off-label status, and 600 mg was administered to only two patients after six months. However, both remained non-responders. A response (good + partial) to omalizumab was observed in 86.1% of the 72 CSU patients. Table 1 shows the characteristics of the patients. Overall, no statistically significant differences were observed between the groups in terms of age, sex, presence of angioedema, BMI, baseline UAS-7 scores, or hematological parameters such as eosinophil, basophil, lymphocyte, or neutrophil counts.

Response to omalizumab and treatment predictors

The study identified three distinct groups of treatment response patterns according to UAS-7 for omalizumab therapy (see Methods). These groups were categorized as follows: good responders (GR), partial responders (PR), and non-responders (NR).

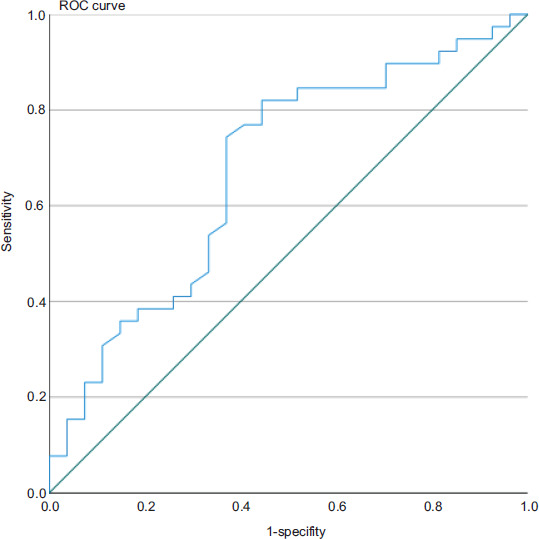
A total of 58.3% had a good response, 27.8% had a partial response, and 13.9% had no response. Figure 1 shows the change in the Urticaria Activity Score (UAS) over time for the three patient response groups, highlighting differences in treatment effectiveness. The initial median total IgE levels were significantly higher in the groups with good response and partial response compared to non-responders. Good vs. non-responders: 291.4 kUA/L (IQR 90–303) vs. 60.2 kUA/L (IQR 28–177), p = 0.003; partial vs. non-responders: 148 kUA/L vs. 60.2 kUA/L (IQR 2–67), p = 0.049. The area under the ROC curve for total IgE level to predict the effectiveness of omalizumab was 0.67 (95% CI: 0.536–0.805, p = 0.019). The best cut-off value of total IgE was calculated as 64 kUA/L with 82% sensitivity and 48% specificity (Figure 2). The ESR level was significantly higher in the group that did not respond to treatment than in the group that responded (partial/good) to omalizumab therapy (20.0 mm/h vs. 8.25 mm/h, respectively, p = 0.018) (Table 1).

Figure 1 UAS change over time across response groups.

Figure 2 The area under the ROC curve for total IgE level to predict the effectiveness of omalizumab.

Relapse of the omalizumab therapy

In our study, 61.1% (n = 44) of patients had recurrence following a successful therapeutic cycle and required additional cycles of omalizumab. The mean CRP level was 3.63 mg/L in the non-relapsed group versus 7.82 mg/L in the relapsed group, indicating a statistically significant difference (p = 0.007). Additionally, the mean TSH level was 1.45 µIU/mL in the non-relapsed group compared to 2.50 µIU/mL in the relapsed group, with this difference also being statistically significant (p = 0.006).

Time to response

In the subgroup analysis performed among 62 patients who responded to omalizumab (good + partial), early response to treatment was observed in 18 (29%), while late response to treatment was observed in 44 (71%). Anti-TG and ANA positivity were significantly lower in patients who responded early to treatment, that is, patients with a significant decrease in the UAS-7 score in the first month of omalizumab (p = 0.036 and p = 0.035, respectively). In our single-center study, the predictive/prognostic value of inflammatory indices (SII, SIRI) as biomarkers of response to omalizumab in CSU could not be demonstrated.

Discussion

Current guidelines for CSU indicate that various biomarkers are crucial in the diagnostic process and help predict therapy response. Our study examined the relationship between parameters and treatment response by examining three groups with CSU that responded to omalizumab at different levels. Similar to the literature, this study showed a positive correlation between total IgE level and treatment response.

Multiple studies have examined the correlation between total IgE levels and the effectiveness of omalizumab treatment in patients with CSU.10,11 A study assessing total IgE levels before and after treatment in refractory CSU patients receiving omalizumab found that non-responders had lower baseline total IgE levels and, unlike partial and good responders, did not show an increase in total IgE levels after three months.11 Furthermore, total IgE levels significantly increased in both partial and complete responders within four weeks of omalizumab treatment, and elevated total IgE levels have been linked to a higher relapse rate after treatment discontinuation.11,14 A recent meta-analysis provided strong evidence supporting the association between baseline total IgE levels and omalizumab efficacy, reporting mean IgE levels of 163.1 IU/mL in complete responders, 179.9 IU/mL in partial responders, and 51.5 IU/mL in non-responders.15 Additionally, patients with total IgE levels < 40 kU/L exhibited a threefold increased likelihood of non-response.16 In a study, the optimal threshold for total IgE was determined to be 56.1 kUA/L, with a sensitivity of 84.2% and a specificity of 71.4%.17 Real-world data validate low serum total IgE levels (<40 kU/L) as an indicator of non-response.18 In our study, a total IgE cut-off value of 64 kUA/L was identified as a predictor of omalizumab response. Although Lee et al. reported a slightly lower threshold, the variation may be explained by methodological differences, such as sample size and study design. Despite these differences, both studies support the utility of baseline total IgE as a predictive marker for treatment response.18

Elevated disease activity, CRP, and D-dimer levels have been identified as strong predictors of poor or inadequate response to second-generation antihistamines, whereas findings regarding ESR and treatment response remain inconsistent.19,20 A previous study has shown a significant reduction in mean ESR values following omalizumab treatment (from 16.91 mm/h to 11.75 mm/h), suggesting a possible relationship between inflammation and clinical improvement.21 Similarly, in our study, ESR levels were higher in the non-responder group and, although not markedly elevated, were near the upper limit of the normal range. This finding suggests that a persistent inflammatory state may contribute to drug resistance and thus reduce the therapeutic response. Although the clinical significance is limited, it highlights a possible novel link between inflammation and resistance that warrants further study.

Various studies have examined relapse after omalizumab treatment. One study showed that the relapse rate was 35% after two months in patients who discontinued omalizumab, and the relapse group had higher total IgE levels at baseline, longer disease duration, and were more likely to have allergy-related diseases.22 In another study, the findings showed that patients with high initial UAS-7 scores and a slow reduction in symptoms were more likely to experience a quick recurrence of symptoms after being treated with omalizumab.23 Furthermore, the presence of angioedema, older age, and female sex were associated with rapid relapse.24,25,26 Studies have demonstrated that levels of specific acute-phase proteins such as CRP and interleukin 6 (IL-6) in the blood are elevated in patients with severe CU compared to those with lesser symptoms of the disease.27,28

The serum level of CRP has been suggested as a biomarker for measuring disease activity in CSU.29 A significant decrease in CRP levels was observed with omalizumab treatment.30 Elevated levels of CRP in CSU may result from the activation of mast cells and the subsequent inflammatory response.28 In this study, baseline CRP levels were higher in patients with relapse after discontinuing omalizumab treatment. Although CRP blood levels are fluctuating and non-specific biomarkers, they can provide information about possible underlying inflammation and disease relapse.

It has been known that autoimmune hypothyroidism has been linked to CSU.31 Guidelines suggest that anti-TPO should be included in the standard diagnostic evaluation for CSU.9 Additionally, a study revealed that approximately 7% of patients with CSU have hypothyroidism, which is characterized by clinical features that are compatible with autoimmune CSU. In a recent study, it was found that low blood basophil count and no hypothyroidism (OR 3.65; 95% CI 0.78–16.95; p = 0.099) are prognostic factors for achieving control with a dosage of 300 mg every 4 weeks.32

In this study, differences in CRP and TSH levels between the relapse and non-relapse groups were statistically significant, suggesting a potential role of both inflammation and thyroid function in disease relapse during omalizumab therapy in patients with CSU. These findings underscore the importance of monitoring CRP and TSH levels to better predict and manage relapses in these patients.

Studies evaluate the timing of response to omalizumab treatment and compare patients with early and late responders. Different studies have defined different durations for early and late response. One study discovered that certain patients exhibited a response (UAS7 ≤ 6) within one week of treatment, while others required up to 24 weeks to respond. Furthermore, approximately half of the non-responders at week 12 demonstrated a response by week 24.12

In this study, anti-TG and ANA positivity were found to be significantly lower in early responding patients. Patients with CSU often show the presence of antithyroid autoantibodies, as well as elevated levels of ANA in CSU.33 A high ratio of IgG-anti-TPO to total IgE was found to be a reliable biomarker indicating a poor response to omalizumab.34 Patients with CSU exhibit an elevated risk of autoimmune disorders, including Hashimoto’s thyroiditis.33 In our study, the findings suggest that early response to omalizumab treatment in CSU is associated with lower levels of autoimmune markers, specifically anti-TG and ANA positivity. This could indicate that patients with a less pronounced autoimmune component may be more likely to exhibit a quicker improvement in disease symptoms. The significant reduction in UAS-7 scores within the first month for these patients highlights a potentially distinct biological profile that responds more promptly to omalizumab, emphasizing the importance of assessing autoimmune markers when predicting treatment outcomes. Post-hoc analysis showed that patients with low IgE levels, elevated BMI, poor illness control, and younger age were more predisposed to becoming late responders.35 The study found strong connections between a positive Basophil Histamine Release Assay (BHRA) and Autologous Serum Skin Test (ASST), and the duration of symptom alleviation after using omalizumab, suggesting that a positive BHRA is predictive of a slow response.36 In addition, it was found that early responders had a high first dose of omalizumab (>300 mg), higher basophil counts, total IgE levels above 798 kU/L, and a lower platelet-to-lymphocyte ratio.16 The mechanism of action underlying this differential response remains unidentified; yet, early responders exhibit a swift reduction in IgE and basophil FcεRI receptor levels.12 In our study involving a group of patients who received omalizumab treatment for a minimum of 6 months, we found no evidence to suggest that SIRI is a reliable indicator of treatment response.

This study has several limitations. It utilized a retrospective cohort design, and none of the identified variables were prospectively assessed for sensitivity and specificity. The participants were recruited from a single university hospital, resulting in a limited sample size. Although some variability in UAS-7 scores was observed among patients, the analysis was based on their most recent scores. For future research, it is recommended that the UAS-7 be evaluated according to response type in a larger and more diverse patient cohort to enhance the validity of the findings.

Conclusion

This retrospective study stated that omalizumab for patients with CSU proved to be effective. The baseline total IgE level of CSU patients may be an indicator of response to omalizumab, while ANA and anti-TG positivity are associated with a late response. Additionally, TSH and CRP were found to be associated with recurrence. Further research is therefore needed to identify more sensitive biomarkers.

Authors Contribution

All authors contributed equally to this article.

Conflicts of Interest

The authors declarre no conflict of interest.

Funding

No funds, grants, or other support was received.

REFERENCES

1 Zuberbier T, Aberer W, Asero R, Abdul Latiff AH, Baker D, Ballmer-Weber B, et al. The EAACI/GA2LEN/EDF/WAO guideline for the definition, classification, diagnosis and management of urticaria. Allergy. 2018;73(7):1393–414. 10.1111/all.13397

2 Fricke J, Ávila G, Keller T, Weller K, Lau S, Maurer M, et al. Prevalence of chronic urticaria in children and adults across the globe: Systematic review with meta-analysis. Allergy. 2020;75(2):423–32. 10.1111/all.14037

3 Ferrer M, Kinét JP, Kaplan AP. Comparative studies of functional and binding assays for IgG anti-Fc(epsilon)RIalpha (alpha-subunit) in chronic urticaria. J Allergy Clin Immunol. 1998;101(5):672–6. 10.1016/s0091-6749(98)70176-9

4 Hide M, Francis DM, Grattan CE, Hakimi J, Kochan JP, Greaves MW. Autoantibodies against the high-affinity IgE receptor as a cause of histamine release in chronic urticaria. N Engl J Med. 1993;328(22):1599–604. 10.1056/NEJM199306033282204

5 Asero R, Tedeschi A, Riboldi P, Griffini S, Bonanni E, Cugno M. Severe chronic urticaria is associated with elevated plasma levels of D-dimer. Allergy. 2008;63(2):176–80. 10.1111/j.1398-9995.2007.01514.x

6 Saini S, Rosen KE, Hsieh HJ, Wong DA, Conner E, Kaplan A, et al. A randomized, placebo-controlled, dose-ranging study of single-dose omalizumab in patients with H1-antihistamine-refractory chronic idiopathic urticaria. J Allergy Clin Immunol. 2011;128(3):567–73.e1. 10.1016/j.jaci.2011.06.010

7 Zhao ZT, Ji CM, Yu WJ, Meng L, Hawro T, Wei JF, et al. Omalizumab for the treatment of chronic spontaneous urticaria: A meta-analysis of randomized clinical trials. J Allergy Clin Immunol. 2016;137(6):1742–50.e4. 10.1016/j.jaci.2015.12.1342

8 Kaplan AP, Giménez-Arnau AM, Saini SS. Mechanisms of action that contribute to efficacy of omalizumab in chronic spontaneous urticaria. Allergy. 2017;72(4):519–33. 10.1111/all.13083

9 Zuberbier T, Abdul Latiff AH, Abuzakouk M, Aquilina S, Asero R, Baker D, et al. The international EAACI/GA2LEN/EuroGuiDerm/APAAACI guideline for the definition, classification, diagnosis, and management of urticaria. Allergy. 2022;77(3):734–66. 10.1111/all.15090

10 Marzano AV, Genovese G, Casazza G, Fierro MT, Dapavo P, Crimi N, et al. Predictors of response to omalizumab and relapse in chronic spontaneous urticaria: a study of 470 patients. J Eur Acad Dermatol Venereol. 2019;33(5):918–24. 10.1111/jdv.15350

11 Ertas R, Ozyurt K, Atasoy M, Hawro T, Maurer M. The clinical response to omalizumab in chronic spontaneous urticaria patients is linked to and predicted by IgE levels and their change. Allergy. 2018;73(3):705–12. 10.1111/all.13345

12 Kaplan A, Ferrer M, Bernstein JA, Antonova E, Trzaskoma B, Raimundo K, et al. Timing and duration of omalizumab response in patients with chronic idiopathic/spontaneous urticaria. J Allergy Clin Immunol. 2016;137(2):474–81. 10.1016/j.jaci.2015.08.023

13 Chen J, Ou S, Wu W, Zou H, Li H, Zhu H. Omalizumab in Chronic Spontaneous Urticaria: A Real-World Study on Effectiveness, Safety and Predictors of Treatment Outcome. Clin Cosmet Investig Dermatol. 2024;17:1799–808. 10.2147/CCID.S470160

14 Ertas R, Ozyurt K, Ozlu E, Ulas Y, Avci A, Atasoy M, et al. Increased IgE levels are linked to faster relapse in patients with omalizumab-discontinued chronic spontaneous urticaria. J Allergy Clin Immunol. 2017;140(6):1749–51. 10.1016/j.jaci.2017.08.007

15 Chuang K-W, Hsu C-Y, Huang S-W, Chang H-C. Association Between Serum Total IgE Levels and Clinical Response to Omalizumab for Chronic Spontaneous Urticaria: A Systematic Review and Meta-Analysis. J Allergy Clin Immunol Pract. 2023;11(8):2382–9.e3. 10.1016/j.jaip.2023.05.033

16 Lee HY, Jeon HS, Jang JH, Lee Y, Shin YS, Nahm DH, et al. Predicting responses to omalizumab in antihistamine-refractory chronic urticaria: A real-world longitudinal study. J Allergy Clin Immunol Glob. 2024;3(2):100245. 10.1016/j.jacig.2024.100245

17 Du Z, Zhi Y. Predictors of response to omalizumab in chronic spontaneous urticaria. J Allergy Clin Immunol. 2023;151(2):AB208.

18 Lee H-Y, Jeon H-S, Jang J-H, Lee Y, Shin YS, Nahm D-H, et al. Predicting responses to omalizumab in antihistamine-refractory chronic urticaria: A real-world longitudinal study. J Allergy Clin Immunol Glob. 2024;3(2):100245. 10.1016/j.jacig.2024.100245

19 Fok JS, Kolkhir P, Church MK, Maurer M. Predictors of treatment response in chronic spontaneous urticaria. Allergy. 2021;76(10):2965–81. 10.1111/all.14757

20 Asero R, Marzano AV, Ferrucci S, Cugno M. D-Dimer Plasma Levels Parallel the Clinical Response to Omalizumab in Patients with Severe Chronic Spontaneous Urticaria. Int Arch Allergy Immunol. 2017;172(1):40–4. 10.1159/000453453

21 Diluvio L, Piccolo A, Marasco F, Vollono L, Lanna C, Chiaramonte B, et al. Improving of psychological status and inflammatory biomarkers during omalizumab for chronic spontaneous urticaria. Future Sci OA. 2020;6(9):Fso618. 10.2144/fsoa-2020-0087

22 Yu R, Qian W, Zheng Q, Xiong J, Chen S, Chen A, et al. Analysis of the Efficacy and Recurrence of Omalizumab Use in the Treatment of Chronic Spontaneous Urticaria and Chronic Inducible Urticaria. Int Arch Allergy Immunol. 2023;184(7):643–55. 10.1159/000529250

23 Ferrer M, Giménez-Arnau A, Saldana D, Janssens N, Balp MM, Khalil S, et al. Predicting Chronic Spontaneous Urticaria Symptom Return After Omalizumab Treatment Discontinuation: Exploratory Analysis. J Allergy Clin Immunol Pract. 2018;6(4):1191–7.e5. 10.1016/j.jaip.2018.04.003

24 Oztop N, Demir S, Unal D, Beyaz S, Terzioglu K, Olgac M, et al. Predictive factors of recurrence after omalizumab cessation in the elderly with urticaria: A real-life study. Allergy Asthma Proc. 2022;43(6):519–28. 10.2500/aap.2022.43.220068

25 Meertens MAJ, Luijf T, van Lindonk EAM, Soegiharto R, Assil S, Alizadeh Aghdam M, et al. Age and fast initial response predict omalizumab retreatment in chronic urticaria. J Allergy Clini Immunol Pract. 2023;11(11):3556–8.e1. 10.1016/j.jaip.2023.07.030

26 Grieco T, Dies L, Sernicola A, Chello C, Gagliostro N, Carnicelli G, et al. Potential clinical and serological predictors of chronic spontaneous urticaria relapse in patients under omalizumab treatment. Immunotherapy. 2020;12(16):1173–81. 10.2217/imt-2020-0088

27 Kasperska-Zajac A. Acute-phase response in chronic urticaria. J Eur Acad Dermatol Venereol. 2012;26(6):665–72. 10.1111/j.1468-3083.2011.04366.x

28 Kasperska-Zajac A, Sztylc J, Machura E, Jop G. Plasma IL-6 concentration correlates with clinical disease activity and serum C-reactive protein concentration in chronic urticaria patients. Clin Exp Allergy. 2011;41(10):1386–91. 10.1111/j.1365-2222.2011.03789.x

29 Kolkhir P, Altrichter S, Hawro T, Maurer M. C-reactive protein is linked to disease activity, impact, and response to treatment in patients with chronic spontaneous urticaria. Allergy. 2018;73(4):940–8. 10.1111/all.13352

30 de Montjoye L, Darrigade AS, Giménez-Arnau A, Herman A, Dumoutier L, Baeck M. Correlations between disease activity, autoimmunity and biological parameters in patients with chronic spontaneous urticaria. Eur Ann Allergy Clin Immunol. 2021;53(2):55–66. 10.23822/EurAnnACI.1764-1489.132

31 Kolkhir P, Altrichter S, Asero R, Daschner A, Ferrer M, Giménez-Arnau A, et al. Autoimmune Diseases Are Linked to Type IIb Autoimmune Chronic Spontaneous Urticaria. Allergy Asthma Immunol Res. 2021;13(4):545–59. 10.4168/aair.2021.13.4.545

32 Zubiaga-Fernandez L, Testera-Montes A, Rondon C, Perez-Sanchez N, Gomez-Perez F, Vega-Chicote JM, et al. Biomarkers predicting the controller dose of omalizumab in patients with chronic spontaneous urticaria. Clin Exp Allergy. 2024;54(6):402–11. 10.1111/cea.14462

33 Kolkhir P, Borzova E, Grattan C, Asero R, Pogorelov D, Maurer M. Autoimmune comorbidity in chronic spontaneous urticaria: A systematic review. Autoimmun Rev. 2017;16(12):1196–208. 10.1016/j.autrev.2017.10.003

34 Brás R, Esteves Caldeira L, Bernardino A, Costa C. Anti-TPO IgG/Total IgE Ratio: Biomarker for Omalizumab Response Prediction in Chronic Spontaneous Urticaria. Int Arch Allergy Immunol. 2023;184(9):866–9. 10.1159/000532021

35 Casale TB, Win PH, Bernstein JA, Rosén K, Holden M, Iqbal A, et al. Omalizumab response in patients with chronic idiopathic urticaria: Insights from the XTEND-CIU study. J Am Acad Dermatol. 2018;78(4):793–5. 10.1016/j.jaad.2017.10.010

36 Gericke J, Metz M, Ohanyan T, Weller K, Altrichter S, Skov PS, et al. Serum autoreactivity predicts time to response to omalizumab therapy in chronic spontaneous urticaria. J Allergy Clin Immunol. 2017;139(3):1059–61.e1. 10.1016/j.jaci.2016.07.047