Division of Clinical Immunology and Allergy, Department of Internal Medicine, Necmettin Erbakan University Faculty of Medicine, Konya, Türkiye
Introduction: The most common indoor allergens are house dust mites, molds, cockroaches, and pet allergens. Increasing exposure to these allergens increases the possibility of sensitization. This study examines changes in allergen sensitivity during the pre-pandemic, pandemic, and post-pandemic periods.
Methods: We retrospectively analyzed 19,525 skin prick test results from patients visiting the allergy clinic between January 2017 and August 2024. Patients were categorized into pre-pandemic (January 2017–March 2020), pandemic (March 2020–December 2022), and post-pandemic (January 2023–August 2024) periods. Allergen sensitization rates were compared across these timeframes.
Results: A linear increase was observed in cats—Dermatophagoides farinae, Dermatophagoides pteronyssinus, and Artemisia vulgaris allergen sensitization during and after the pandemic period compared to the pre-pandemic period (all p<0.001). Cockroach and grass–pollen sensitivities increased during the pandemic and remained elevated post-pandemic (all p<0.001). Dog allergen sensitivity peaked during the pandemic but declined post-pandemic (p<0.001). Sensitivity to the tree–pollen mixture, weed-pollen mixture, and Chenopodium album increased during the pandemic, slightly decreased post-pandemic, but remained significantly higher than pre-pandemic levels (p<0.001). In the test results studied since the pandemic period, Aspergillus fumigatus (p=0.007) and Cladosporium herbarum (p=0.005) allergen sensitivity was seen less in the post-pandemic period.
Conclusion: The current study reveals that the COVID-19 pandemic has significant effects on allergen sensitivity profiles along with changes in living habits. In particular, the increase in sensitivity to indoor allergens may be associated with the increased time spent at home during the pandemic, emphasizing the importance of environmental factors in the development of allergic diseases.
Key words: indoor allergen sensitivity, outdoor allergen sensitivity, COVID-19, prevalence, lifestyle changes
*Corresponding author: Ferhat Sağun, Department of Clinical Immunology and Allergy, Necmettin Erbakan University, Faculty of Medicine, Abdulhamid Han Avenue, No.:3,42280, Selçuklu, Konya, Türkiye. Email address: [email protected]
Received 30 Janaury 2025; Accepted 15 March 2025; Available online 1 May 2025
Copyright: Sağun F, et al.
License: This open access article is licensed under Creative Commons Attribution 4.0 International (CC BY 4.0). http://creativecommons.org/licenses/by/4.0/
Inhalant allergens are important factors in the development of allergic diseases. Outdoor allergens are pollen and mold spores. House dust mites, molds, cockroaches, and cat and dog hair are the most important allergens in indoor areas.1,2 In recent years, allergen sensitivities have changed because of factors such as air pollution, urbanization, climate change, reduced biodiversity, exposure to mold and moisture, and lifestyle changes.3,4 During the COVID-19 pandemic, governments have warned people to wear masks, maintain social distance, and practice hand hygiene. Crowded activities have significantly decreased, and more secluded nature activities have become popular. All school classes have been converted to online education, and remote work has become common. Under these conditions, people’s pet ownership rates have increased.5–7 During the COVID-19 pandemic, changes in people’s living habits and the environment may have changed the types and frequency of allergens to which people are exposed and sensitized. Diagnosis of allergen sensitization is based on consideration of specific immunoglobulin E (sIgE) levels or skin prick testing (SPT) and symptoms experienced after exposure to these allergens.8 SPT is a rapid, sensitive, and cost-effective test method for differentiating early types mediated by immunoglobulin E (IgE).9 When combined with an appropriate clinical history, its reliability is relatively high. This study uses skin prick test results to evaluate the effects of lifestyle changes because of the COVID-19 pandemic on inhaled allergen sensitization.
Medical records of patients who underwent SPT at the Necmettin Erbakan University Faculty of Medicine Hospital between 1 January 2017 and 31 August 2024 were retrospectively reviewed. Patients were divided into three groups according to their outpatient clinic application dates: pre-pandemic period (1 January 2017 to 10 March 2020), pandemic period (11 March 2020 to 31 December 2022), and post-pandemic period (1 January 2023 to 31 August 2024). The pandemic was determined between 11 March 2020, when the first COVID-19 case was detected in Türkiye, and 31 December 2022, when curfews and isolations were lifted entirely. Patients aged 18 years and above with a positive histamine prick test were included in the study. The study did not include patients with negative histamine test results and dermographism findings (Figure 1).
Figure 1 Patient selection and grouping based on skin prick test results.
The patients’ demographic information and skin prick test results were obtained from the electronic medical records.
Allergen extracts applied in SPT were selected by the EAACI GA2LEN skin prick test protocol recommendation. Histamine phosphate (10 mg/mL) was used as a positive control, and 0.9% sterile saline was used as a negative control. SPT was evaluated 20 min after application, and a wheal ≥3 mm larger than the negative control was considered a positive result.
Continuous variables are presented as mean ± standard deviation, and categorical variables as numbers and percentages in each category. Independent samples t-test was used to evaluate continuous data, and χ2 and Fisher’s exact test were used to evaluate categorical data when comparing the allergen sensitization percentages between pre-pandemic, pandemic, and post-pandemic periods. The SPSS statistical package (V.22.0; IBM Corp., Armonk, NY, USA) was used for all analyses. p<0.05 was considered statistically significant.
This study protocol was reviewed and approved by the Necmettin Erbakan University Medical Faculty Ethics Committee, approval number 2024/5337. This retrospective review of patient data did not require written informed consent from participants in accordance with local guidelines.
In this study, the skin prick test results of 19,525 patients were examined. The average age was 36.85(±14.21), and 66% of patients were female (Table 1).
Table 1 Demographic information of patients.
| Pre-pandemic period (n=5655) | Pandemic period (n=7058) | Post-pandemic period (n=6812) | Total (n=19525) | p-value | |
|---|---|---|---|---|---|
| Age (Mean, SD) | 37.18±14.75 | 36.83±14.22 | 36.60±13.73 | 36.85±14.21 | 0.076 |
| Gender (Female, %) | 3637 (%64.3) | 4762 (%67.4) | 4620 (%67.8) | 13019 (%66) | <0.001 |
The three allergens with the highest sensitization rates were, respectively, Dactylis glomerata (22.3%), Chenopodium album (17.8%), and grass–pollen mixture (16.9%). The lowest sensitivity rates belonged to Penicillium notatum (0.3%), Cladosporium herbarum (0.7%), and Aspergillus fumigatus (0.9%) (Figure 2).
Figure 2 The total positive rate of inhalant allergens.
Changes in inhalant allergen sensitivities detected in skin prick tests before the pandemic period (2017–2020), during the COVID-19 pandemic period (2020–2022), and after the pandemic period (2023–2024).
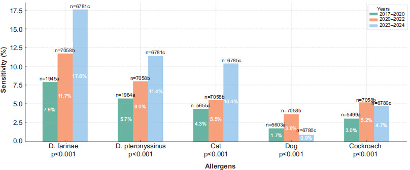
A linear increase was observed in cats—Dermatophagoides farinae, Dermatophagoides pteronyssinus, and Artemisia vulgaris allergen sensitization during and after the pandemic period compared to the pre-pandemic period (p<0.001). Cockroach and grass–pollen mixture allergen sensitivity increased during the pandemic period, and a similar course was observed in the following period as in the pandemic period (p<0.001). An increase in dog allergen sensitivity was observed during the pandemic, and a decrease was observed in the following period (p<0.001). During the pandemic, there was an increase in sensitivity to the tree–pollen mixture, weed-pollen mixture, and Chenopodium album. Although there was a slight decrease in the post-pandemic period, there was a significant increase compared to the pre-pandemic period (p<0.001). In the test results that have been studied since the pandemic period, allergen sensitivity to A. fumigatus, C. herbarum, Parietaria judaica, Betula verrucosa, and Fagus sylvatica was seen less in the post-pandemic period compared to the pandemic period (p=0.007, p=0.005, p=0.037, p<0.001, p<0.001, respectively). The highest sensitivity rate for six of the seventeen pollen allergens tested was observed during the COVID-19 pandemic period (Chenopodium album (p<0.001), wild grass–pollen mixture (p<0.001), tree–pollen mixture (p<0.001), Betula verrucosa (p<0.001), Fagus sylvatica (p<0.001), and Parietaria judaica (p=0.037)). No statistically significant difference was detected between the periods in nine of the pollen allergens tested (Table 2, Figures 3–5).
Table 2 Positive rates of allergens by period.
| Allergen | 2017–2020, n (%) | 2020–2022, n (%) | 2023–2024, n (%) | χ2 | p-value |
|---|---|---|---|---|---|
| Indoor | |||||
| D. Farinae | 154 (7.9) | 826 (11.7) | 1191 (17.6) | 163.845 | <0.001 |
| D. Pteronyssinus | 114 (5.7) | 563 (8) | 775 (11.4) | 81.485 | <0.001 |
| Cat | 241 (4.3) | 388 (5.5) | 705 (10.4) | 213.146 | <0.001 |
| Dog | 96 (1.7) | 254 (3.6) | 59 (0.9) | 130.832 | <0.001 |
| Cockroach | 167 (3) | 365 (5.2) | 319 (4.7) | 35.768 | <0.001 |
| Mold | |||||
| A. Alternata | 78 (1.4) | 98 (1.4) | 71 (1) | 4.026 | 0.134 |
| A. Fumigatus | unavailable | 10 (2) | 24 (0.8) | 7.191 | 0.007 |
| C. Herbarum | unavailable | 7 (2) | 18 (0.6) | 8.070 | 0.005 |
| P. Notatum | unavailable | 2 (0.6) | 8 (0.3) | .939 | 0.287 |
| Outdoor | |||||
| Artemisa Vulgaris | 192 (3.5) | 427 (6.1) | 522 (7.7) | 99.683 | <0.001 |
| Chenopodium Album | 586 (10.7) | 1556 (22.1) | 1289 (19) | 282.832 | <0.001 |
| Grass–Pollen Mixture | 777 (13.7) | 1282 (18.2) | 1231 (18.2) | 55.836 | <0.001 |
| Wild Grass–Pollen Mixture | 82 (3.9) | 1166 (16.5) | 417 (6.1) | 509.697 | <0.001 |
| Tree–Pollen Mixture | 182 (3.2) | 476 (6.7) | 361 (5.3) | 78.721 | <0.001 |
| Betula Verrucosa | unavailable | 28 (7.8) | 89 (2.9) | 22.948 | <0.001 |
| Dactylis Glomerata | unavailable | 90 (25.2) | 663 (21.9) | 1.991 | 0.158 |
| Plantago Lanceolata | unavailable | 55 (15.4) | 403 (13.3) | 1.179 | 0.278 |
| Fagus Sylvatica | unavailable | 22 (6.2) | 76 (2.5) | 15.108 | <0.001 |
| Ulmus Minor | unavailable | 4 (1.1) | 39 (1.3) | .073 | 1.000 |
| Populus Alba | unavailable | 13 (3.6) | 78 (2.6) | 1.375 | 0.227 |
| Platanus Hispanica | unavailable | 19 (5.3) | 176 (5.8) | .146 | 0.794 |
| Quercus Robur | unavailable | 9 (2.5) | 70 (2.3) | .059 | 0.933 |
| Parietaria Judaica | unavailable | 10 (2.8) | 43 (1.4) | 3.936 | 0.037 |
| Ragweed | unavailable | 9 (2.5) | 118 (3.9) | 1.685 | 0.250 |
| Olive Tree | unavailable | 2 (8.3) | 303 (10) | .073 | 1.000 |
| Alnus Glutinosa | unavailable | 22 (6.2) | 148 (4.9) | 1076 | 0.363 |
D. farinae, Dermatophagoides farinae; D. pteronyssinus, Dermatophagoides Pteronyssinus; A. Alternata, Alternaria Alternata; A. Fumigatus, Aspergillus Fumigatus; C. Herbarum, Cladosporium Herbarum; P. Notatum. Penicillium Notatum.
Figure 3 Mold allergen sensitivities.
Figure 4 Indoor allergen sensitivities.
Figure 5 Outdoor allergen sensitivities.
Sensitization to indoor allergens D. farinae, D. pteronyssinus, dogs, and cockroaches was higher in males than females. There was no statistically significant difference between genders in cat and mold allergen sensitivity. A. vulgaris, grass–pollen mixture, wild grass–pollen mixture, tree–pollen mixture, Dactylis glomerata, Populus alba, Platanus hispanica, Olive tree, and Alnus glutinosa allergen sensitivities were observed to be higher in males compared to females. Ragweed allergen sensitivity was higher in females. There was no statistically significant difference between genders in other allergens (Table 3).
Table 3 Positive rates of allergen by gender.
| Allergen | Female, n (%) | Male, n (%) | χ2 | p-value |
|---|---|---|---|---|
| Indoor | ||||
| D. Farinae | 1340 (12.6) | 831 (16) | 33.209 | <0.001 |
| D. Pteronyssinus | 913 (8.6) | 539 (10.4) | 13.095 | <0.001 |
| Cat | 894 (6.9) | 440 (6.8) | .063 | 0.809 |
| Dog | 243 (1.9) | 166 (2.6) | 10.075 | 0.002 |
| Cockroach | 491 (3.8) | 360 (5.6) | 33.500 | <0.001 |
| Mold | ||||
| A. Alternata | 165 (1.3) | 82 (1.3) | .001 | 0.997 |
| A. Fumigatus | 22 (0.9) | 12 (1) | .061 | 0.805 |
| C. Herbarum | 18 (0.8) | 7 (0.6) | .397 | 0.529 |
| P. Notatum | 8 (0.4) | 2 (0.2%) | .870 | 0.351 |
| Outdoor | ||||
| Artemisa Vulgaris | 699 (5.4) | 442 (6.8) | 16.073 | <0.001 |
| Chenopodium Album | 2261 (17.6) | 1170 (18.2) | 1.136 | 0.286 |
| Grass–Pollen Mixture | 1911 (14.7) | 1379 (21.2) | 132.228 | <0.001 |
| Wild Grass–Pollen Mixture | 1074 (10) | 591 (11.3) | 6.012 | 0.014 |
| Tree–Pollen Mixture | 612 (4.7) | 407 (6.3) | 21.473 | <0.001 |
| Betula Verrucosa | 81 (3.6) | 36 (3.1) | .538 | 0.463 |
| Dactylis Glomerata | 427 (19.1) | 326 (28.4) | 37.932 | <0.001 |
| Plantago Lanceolata | 293 (13.1) | 165 (14.4) | 1.044 | 0.307 |
| Fagus Sylvatica | 63 (2.8) | 35 (3.1) | .144 | 0.704 |
| Ulmus Minor | 30 (1.3) | 13 (1.1) | .265 | 0.607 |
| Populus Alba | 47 (2.1) | 44 (3.8) | 8.683 | 0.003 |
| Platanus Hispanica | 92 (4.1) | 103 (9) | 32.961 | <0.001 |
| Quercus Robur | 52 (2.3) | 27 (2.4) | .002 | 1.000 |
| Parietaria Judaica | 30 (1.3) | 23 (2) | 2.155 | 0.142 |
| Ragweed | 100 (4.5) | 27 (2.4) | 9.443 | 0.002 |
| Olive Tree | 158 (7.8) | 147 (14.2) | 30.696 | <0.001 |
| Alnus Glutinosa | 93 (4.2) | 77 (6.7) | 10.322 | 0.001 |
D. farinae, Dermatophagoides farinae; D. pteronyssinus, Dermatophagoides Pteronyssinus; A. Alternata, Alternaria Alternata; A. Fumigatus, Aspergillus Fumigatus; C. Herbarum, Cladosporium Herbarum; P. Notatum. Penicillium Notatum.
D. pteronyssinus, cockroach, and Parietaria judaica allergen sensitivities were significantly lower in the 55 and older age group than in younger age groups. Cat, dog, Alternaria alternata, A. vulgaris, grass–pollen mixture, wild grass–pollen mixture, tree–pollen mixture, Betula verrucosa, Dactylis glomerata, Plantago lanceolata, Fagus sylvatica, Ulmus minor, Populus alba, Platanus hispanica, Ragweed, Olive tree, and Alnus glutinosa allergen sensitivities showed a linear increase with age. No statistically significant difference existed between other allergen sensitivities and age groups (Table 4).
Table 4 Positive rates of allergen in different age groups.
| Allergen | 18–34 years, n (%) | 35–54 years, n (%) | ≥55 years, n (%) | χ2 | p-value |
|---|---|---|---|---|---|
| Indoor | |||||
| D. Farinae | 1158 (14.0) | 758 (14.0) | 255 (12.3) | 4.441 | 0.109 |
| D. Pteronyssinus | 793 (9,5) | 499 (9,2) | 160 (7.7) | 6.773 | 0.034 |
| Cat | 1054 (10.5) | 265 (3.9) | 15 (0.6) | 466.493 | <0.001 |
| Dog | 304 (3) | 90 (1.3) | 15 (0.6) | 92.228 | <0.001 |
| Cockroach | 441 (4.4) | 326 (4.8) | 84 (3.2) | 11.883 | 0.003 |
| Mold | |||||
| A. Alternata | 177 (1.8) | 60 (0.9) | 10 (0.4) | 44.479 | <0.001 |
| A. Fumigatus | 15 (0.8) | 12 (0.9) | 7 (1.6) | 2.466 | 0.291 |
| C. Herbarum | 13 (0.7) | 10 (0.9) | 2 (0.5) | .433 | 0.805 |
| P. Notatum | 4 (0.2) | 4 (0.3) | 2 (0.5) | 1.186 | 0.553 |
| Outdoor | |||||
| Artemisa Vulgaris | 724 (7.2) | 348 (5.1) | 69 (2.6) | 89.909 | <0.001 |
| Chenopodium Album | 2227 (22.4) | 998 (14.8) | 206 (7.9) | 357.056 | <0.001 |
| Grass–Pollen Mixture | 2353 (23.4) | 810 (11.9) | 127 (4.8) | 702.614 | <0.001 |
| Wild Grass–Pollen Mixture | 1085 (13) | 485 (8.9) | 95 (4.5) | 150.123 | <0.001 |
| Tree–Pollen Mixture | 693 (6.9) | 280 (4.1) | 46 (1.7) | 138.934 | <0.001 |
| Betula Verrucosa | 82 (4.5) | 31 (2.6) | 4 (1.1) | 14.320 | 0.001 |
| Dactylis Glomerata | 539 (29.4) | 190 (16.2) | 24 (6.5) | 132.721 | <0.001 |
| Plantago Lanceolata | 310 (16.9) | 130 (11.1) | 18 (4.8) | 47.912 | <0.001 |
| Fagus Sylvatica | 68 (3.7) | 28 (2.4) | 2 (0.5) | 12.744 | 0.002 |
| Ulmus Minor | 29 (1.6) | 13 (1.1) | 1 (0.3) | 4.635 | 0.099 |
| Populus Alba | 62 (3.4) | 25 (2.1) | 4 (1.1) | 8.462 | 0.015 |
| Platanus Hispanica | 136 (7.4) | 56 (4.8) | 3 (0.8) | 28.179 | <0.001 |
| Quercus Robur | 49 (2.7) | 26 (2.2) | 4 (1.1) | 3.575 | 0.167 |
| Parietaria Judaica | 31 (1.7) | 22 (1.9) | 0 (0) | 6.811 | 0.033 |
| Ragweed | 83 (4.5) | 39 (3.3) | 5 (1.3) | 9.611 | 0.008 |
| Olive Tree | 195 (11.7) | 92 (8.8) | 18 (5.4) | 14.797 | 0.001 |
| Alnus Glutinosa | 117 (6.4) | 49 (4.2) | 4 (1.1) | 20.997 | <0.001 |
D. farinae, Dermatophagoides farinae; D. pteronyssinus, Dermatophagoides Pteronyssinus; A. Alternata, Alternaria Alternata; A. Fumigatus, Aspergillus Fumigatus; C. Herbarum, Cladosporium Herbarum; P. Notatum. Penicillium Notatum.
This study reveals significant changes in allergen sensitization during the COVID-19 pandemic. Indoor allergens such as cat, house dust mites (D. farinae and D. pteronyssinus), and cockroach sensitization showed a marked rise, particularly during and after the pandemic. Dog allergen sensitization showed a temporary rise during the pandemic but decreased afterward. Sensitivities to grass and weed pollens, including Chenopodium album and A. vulgaris, among outdoor allergens, increased significantly during the pandemic. These findings underscore the impact of pandemic-related lifestyle changes on allergen sensitization patterns, such as prolonged indoor exposure and increased pet ownership.
Many factors affect individuals’ allergen sensitivities. Air pollution, indoor air quality, and lifestyle changes are some of these factors.3,10 Curfew restrictions implemented during the COVID-19 pandemic caused changes in individuals’ lifestyles. Lifestyle changes can also change people’s allergen sensitivities.11 This study evaluated the results of patients who underwent inhaled skin prick testing. In this study, the most common allergen sensitivities detected in 19525 patients whose skin prick test results were evaluated were Dactylis glomerata, Chenopodium album, and grass–pollen mixture. Dactylis glomerata is a cool-season, perennial grass native to Europe, Asia, and North Africa. It grows in various habitats, from meadows and pastures to roadsides and open woodlands.12 Chenopodium album belongs to the Amaranthaceae family and is widespread in temperate regions worldwide. It is generally seen as a weed on fields and roadsides, in gardens, and in cultivated areas. It is an allergen to which sensitivity is common in Türkiye and our city, Konya, located in the central region of our country, and the number of pollen peaks in August and September.13 Grass–pollen allergen sensitivity was also detected at a high rate in this study, similar to allergen sensitivity studies conducted in Türkiye.14,15
Allergen sensitivity and the frequency of allergic diseases decrease with age. Males are at higher risk of developing atopic disease than females, and this gender difference becomes less pronounced in adulthood. Most studies report higher total IgE, higher prevalence of specific IgE antibodies, and skin test positivity in males than in females.16,17 Consistent with the information in the literature, we found higher positivity rates in males and lower positivity rates in the elderly group for most of the tested allergens.
In this study, cat allergen sensitization continued to increase during and after the pandemic compared to the pre-pandemic period (4.3%, 5.5%, and 10.4%). Similarly, in a study conducted by Liu et al., it was observed that cat allergen sensitivity increased from 0.78% in the pre-pandemic period to 4.4% during the pandemic period.11 In a study conducted in our clinic in previous years, cat allergen sensitivity was determined to be 4.1% and 5.7% before and during the pandemic, respectively, and a statistically significant increase in cat allergen sensitivity was observed during the pandemic.18 In another study conducted in Türkiye, a decrease in dog allergen sensitivity was observed during the pandemic compared to the pre-pandemic period. At the same time, no significant difference was found between the periods in cat allergen sensitivity.19 We found that dog allergen sensitivity was 1.7% before the pandemic, 3.6% during the pandemic, and 0.9% after the pandemic. Similarly, in studies conducted in China, dog allergen sensitization rates were higher during the pandemic than in the pre-pandemic period.11,20 In the study conducted by Evcen et al. in our clinic, it was seen that dog allergen sensitivity increased from 1.7% to 5.1% during the pandemic period.18 In this study, while cat allergen sensitivity continued to increase in the post-pandemic period, a decrease in dog allergen sensitivity was observed after the pandemic; the decrease in adoption rate after the pandemic because dog care is relatively more complex compared to cat care, and the fact that cats are kept indoors and dogs in the yard per our country’s culture may have been practical reasons. The study’s indoor allergen with the highest sensitization rates was D. farinae. We found that both D. farinae and D. pteronyssinus allergen sensitization rates increased significantly during and after the pandemic period. In two studies conducted in China, sensitivity to house dust mites was found to have increased significantly during the pandemic period.11,20 In this study, cockroach allergen sensitivity increased during the pandemic period and continued to be higher after the pandemic compared to the pre-pandemic period (3%, 5.2%, and 4.7%, respectively). In one study conducted in China, a decrease in cockroach allergen sensitivity was observed during the pandemic period, while in another study, an increase in sensitization was detected during the pandemic period.11,20 In another study conducted in our clinic, cockroach sensitivity was higher during the pandemic than in the pre-pandemic period.21 In a pediatric group study by Huang et al., cat, dog, and house dust mite sensitivities were higher during the pandemic than before the pandemic, and cockroach sensitivity did not show a significant difference between both the periods.22 Differences in sensitization rates to house dust mites and cockroaches can be explained by geographical conditions, hygiene practices, and changing lifestyles during the pandemic. Increased time spent at home may increase indoor allergen sensitization. In addition, differences in the testing method used (skin prick test or allergen-specific IgE), as well as age group characteristics of the population, may also affect sensitization rates. In a study conducted in South Korea, a decrease in various pollen allergies was observed during the COVID-19 pandemic. In contrast, contrary to the literature, no significant change was observed in indoor allergen sensitivities.23 Studies on the subject in the literature have generally shown an increase in indoor allergen sensitivities with an increase in time spent at home during the pandemic period.11,18,20–22,24 This study data showed an increase in indoor allergen sensitivity during the pandemic compared to the pre-pandemic period, which aligns with most literature data.
Molds can be considered as both indoor and outdoor allergens. Alternaria and Cladosporium species are considered outdoor allergens, and sensitization and exposure to species of these genera are associated with the development and progression of asthma and rhinitis. In contrast, xerophilic species of Penicillium and Aspergillus, except A. fumigatus, are implicated in allergic diseases as indoor allergens. A. fumigatus has a high capacity to colonize the bronchial tracts of asthmatic patients, causing severe persistent asthma and reduced lung function, and sometimes leading to allergic bronchopulmonary aspergillosis.25,26 There are insufficient studies evaluating changes in mold allergen sensitivity during the pandemic. Liu et al. found similar results in Alternaria allergen sensitization in the pre-pandemic period.11 This study found no significant difference between the periods in A. alternata and P. notatum allergen sensitivities, while A. fumigatus and C. herbarum sensitivities were lower during the pandemic compared to the previous period.
In this study, during the pandemic period, sensitivities to A. Vulgaris, Chenopodium Album, grass–pollen mixture, wild grass–pollen mixture, and tree–pollen mixture pollens increased, while sensitivities to Fagus Sylvatica and Parietaria Judaica decreased. No significant change was detected in other pollen sensitivities. In the study by Huang et al., mold, platanus, ambrosia, ulmus, and artemisia sensitivities were higher during the pandemic than before the pandemic.22 Sensitivity to pollen allergens during the pandemic may have varied depending on geographical differences, lifestyle changes, and mask use. In the future, with climate changes, comprehensive studies are needed to evaluate pollen sensitivity in different regions and the long-term effects after the pandemic.
This study had several limitations. First, during the pre-pandemic period and part of the pandemic period, some allergens could not be tested because the prick test extracts were unavailable in the hospital. This resulted in incomplete data for specific allergens during these periods. Second, we did not assess specific IgE (sIgE) levels because of limited test availability, which may have influenced the accuracy of allergen sensitization results. Finally, the study’s retrospective design only included patients who visited our allergy clinic, which may not fully represent the general population.
In conclusion, this study demonstrated that indoor and outdoor allergen sensitivities significantly changed during the COVID-19 pandemic. These changes were influenced by several factors, including shifts in daily habits, such as spending prolonged periods indoors because of curfew restrictions. This increased indoor exposure likely led to higher sensitization rates to indoor allergens. The rise in pet ownership during the pandemic, driven by lifestyle changes and the need for friendship, contributed to increased sensitization to cat and dog allergens. In addition, changes in indoor air quality, resulting from extended time spent at home, and improvements in outdoor air quality because of reduced industrial activity and traffic emissions may have altered exposure to various allergens. These findings emphasize the multifaceted relationship between environmental exposures, lifestyle modifications, and allergen sensitization patterns.
All data generated or analyzed during this study are included in this article. Further inquiries can be directed to the corresponding author.
F.S. and F.Ç. designed the research; F.S., M.E.G., S.K., and E.H. conducted the research; F.S., F.Ç., M.E.G., and Ş.A. analyzed the data; F.S. and F.Ç. wrote the paper; and F.S. had primary responsibility for the final content. All the authors have read and approved the final manuscript.
The authors have no conflict of interests to declare.
The authors received no funding for this article.
1 Platts-Mills TAE. Indoor allergens. In: Adkinson NF, Bochner BS, Burks AW, Busse WW, Holgate ST, Lemanske RF, O’Hehir RE, editors. Middleton’s Allergy. 8th ed. Philadelphia (PA): W.B. Saunders; 2014. p. 453-469. 10.1016/B978-0-323-08593-9.00029-2.
2 Sicherer SH, Eggleston PA. Environmental allergens. In: Lieberman P, Anderson JA, editors. Allergic diseases. Totowa (NJ): Humana Press; 2000. p. 41-51. (Current Clinical Practice). 10.1007/978-1-59259-007-0_4.
3 Bousquet J, Akdis CA, Grattan C, Eigenmann PA, Hoffmann-Sommergruber K, Hellings PW, et al. Highlights and recent developments in airway diseases in EAACI journals (2017). CTA. 2018;8:49. 10.1186/s13601-018-0238-3
4 Singh AB, Kumar P. Climate change and allergic diseases: An overview. Front. Allergy. 2022;3:964987. 10.3389/falgy.2022.964987
5 Mills G. Assessing the impact of Covid-19 on pets. Vet. Rec. 2022;191(1):5. 10.1002/vetr.1983
6 Morgan L, Protopopova A, Birkler RID, Itin-Shwartz B, Sutton GA, Gamliel A, et al. Human–dog relationships during the COVID-19 pandemic: Booming dog adoption during social isolation. Humanit. Soc. Sci. Commun. 2020;7(1). 10.1057/s41599-020-00649-x
7 Hoffman CL, Thibault M, Hong J. Characterizing pet acquisition and retention during the COVID-19 pandemic. Front. Vet. Sci. 2021;8:781403. 10.3389/fvets.2021.781403
8 Ansotegui IJ, Melioli G, Canonica GW, Caraballo L, Villa E, Ebisawa M, et al. IgE allergy diagnostics and other relevant tests in allergy, a World Allergy Organization position paper. WAO Journal. 2020;13(2):100080. 10.1016/j.waojou.2019.100080
9 Heinzerling L, Mari A, Bergmann KC, Bresciani M, Burbach G, Darsow U, et al. The skin prick test—European standards. CTA. 2013;3(1):3. 10.1186/2045-7022-3-3
10 Wu AC, Dahlin A, Wang AL. The role of environmental risk factors on the development of childhood allergic rhinitis. Children (Basel, Switzerland). 2021;8(8). 10.3390/children8080708
11 Liu Y, Yang S, Zeng Y, Yang C, Li X, Zong X, et al. Influence of the COVID-19 pandemic on the prevalence pattern of allergens. Int. Arch. Allergy Immunol. 2023;184(1):43–53. 10.1159/000526892
12 Ivana P, Minic R, Stojadinovic M. The influence of environmental pollution on the allergenic potential of grass pollen. Aerobiologia. 2024;1–14.
13 Galán C, Infante F, Ruiz de Clavijo E, Guerra F, Miguel R, Domínguez E. Allergy to pollen grains from amaranthaceae and chenopodiaceae in Cordoba, Spain. Annual and daily variation of pollen concentration. Ann. Allergy. 1989;63(5):435–8.
14 Şahiner UM, Civelek E, Yavuz ST, Büyüktiryaki AB, Tuncer A, Şekerel BE. Skin prick testing to aeroallergen extracts: What is the optimal panel in children and adolescents in Turkey? Int. Arch. Allergy Immunol. 2012;157(4):391–8. 10.1159/000329870
15 Yazicioglu M, Oner N, Celtik C, Okutan O, Pala O. Sensitization to common allergens, especially pollens, among children with respiratory allergy in the Trakya region of Turkey. Asian Pac. J. Allergy. Immunol. 2004;22(4):183–90.
16 Govaere E, Gysel DV, Massa G, Verhamme KM, Doli E, Baets FD. The influence of age and gender on sensitization to aero-allergens. Pediatr. Allergy Immunol. 2007;18(8):671–8. 10.1111/j.1399-3038.2007.00570.x
17 Von Linstow ML, Porsbjerg C, Ulrik CS, Nepper-Christensen S, Backer V. Prevalence and predictors of atopy among young Danish adults. Clinical and experimental allergy. Clin. Exp. Allergy. 2002;32(4):520–5. 10.1046/j.0954-7894.2002.01326.x
18 Evcen R, Çölkesen F, Yıldız E, Sadi Aykan F, Kılınç M, Akkuş FA, et al. Increasing prevalence of sensitization to cat/dog allergens in the COVID-19 pandemic. Int. Arch. Allergy Immunol. 2024;185(2):133–41. 10.1159/000534173
19 Yildirim G, Gunes BN, Caliskan N, Bologur H, Gungor H, Erbay MF, et al. The impact of the pandemic on cat and dog allergies. Med. Bull. Sisli. Etfal. Hosp. 2024;58(2):159. 10.14744/SEMB.2024.93797
20 Li Y, Hu H, Zhang T, Wang G, Huang H, Zheng P, et al. Increase in indoor inhalant allergen sensitivity during the COVID-19 pandemic in South China: A cross-sectional study from 2017 to 2020. J. Asthma Allergy. 2021;14:1185–95. 10.2147/JAA.S322034
21 Evcen R, Çölkesen F, Yıldız E, Sadi Aykan F, Kılınç M, Arslan Ş. Impact of the COVID-19 pandemic on cockroach allergy: A 4-year retrospective study. Int. Arch. Allergy Immunol. 2024;185(11):1066–73. 10.1159/000539321
22 Huang X, Yang M, Ye M, Qiu J, Chen Y. Impact of the COVID-19 epidemic on inhalant allergen sensitization in children. J. Immunol Res. 2024;2024(1):5641948. 10.1155/2024/5641948
23 Song KB, Park MJ, Choi EJ, Paek EY, Jung S, Yoon J, et al. Decreased pollen sensitization in school-age children after the COVID-19 pandemic: COCOA study. J Allergy Clin. Immunol. 2023;151(2):AB120. 10.1016/j.jaci.2022.12.379
24 Ye Q, Wang B, Liu H. Influence of the COVID-19 pandemic on the incidence and exacerbation of childhood allergic diseases. J. Med. Virol. 2022;94(4):1655–69. 10.1002/jmv.27536
25 Fukutomi Y, Taniguchi M. Sensitization to fungal allergens: Resolved and unresolved issues. Allergol. Int.. 2015;64(4):321–31. 10.1016/j.alit.2015.05.007
26 Agarwal R, Muthu V, Sehgal IS, Dhooria S, Prasad KT, Aggarwal AN. Allergic bronchopulmonary aspergillosis. Clin. Chest Med. 2022;43(1):99–125. 10.1016/j.ccm.2021.12.002