Download

ORIGINAL ARTICLE

Dieckol ameliorates inflammatory response via inhibition of CHI3L1 expression in collagen-induced arthritis rats

Weijiang Wanga, Huijie Lib*

aDepartment of Osteoarthropathy, Shijiazhuang People’s Hospital, Shijiazhuang, China

bDepartment of Orthopaedic Surgery, The 3rd Hospital of Hebei Medical University, Shijiazhuang, China

Abstract

Background: Dieckol (DEK), the main phlorotannin of brown algal, has been regarded as a powerful anti-inflammatory agent in various diseases. Rheumatoid arthritis (RA) is a typical inflammatory autoimmune disease affecting synovial joints. However, the pharmaceutical effect of DEK on RA is still waiting to be unveiled.

Methods: A collagen-induced arthritis (CIA) rat model was established and DEK was administered intraperitoneally for three weeks. Paw swelling and histologic analysis were performed to evaluate CIA progression. Inflammatory cytokine and oxidative biomarker expression were assessed by real-time quantitative polymerase chain reaction (RT-qPCR) and enzyme-linked immunosorbent assay (ELISA). Vascular endothelial growth factor A (VEGFA) expression in synovial joint was assessed by immunoblotting and immunofluorescent (IF) staining. TdT-mediated dUTP nick-end labeling (TUNEL) staining was used to evaluate chondrocyte apoptosis. Western blot assay was performed to determine the expression level of nuclear erythroid-derived 2-like 2 (Nrf2), chitinase 3-like protein 1(CHI3L1) and apoptosis-specific proteins. Finally, CHI3L1 overexpression was used to explore its essential role in the biological effect of DEK in vivo.

Results: DEK treatment significantly ameliorates paw swelling, inflammatory cell infiltration, chondrocyte apoptosis and vascular pannus formation in CIA rats. Moreover, inflammatory cytokine and oxidative biomarker expression was also attenuated by DEK treatment. Notably, DEK treatment obviously promoted Nrf2 nuclear import and CHI3L1 expression in synovial joint. Overexpression of CHI3L1 by AVV-mediated transfection abrogated the pharmaceutical effect of DEK in vivo.

Conclusion: This study provides a promising translational potential of DEK as an anti-rheumatic drug facilitating RA clinical treatment.

Key words: chitinase-3-like protein-1, collagen-induced arthritis, Dieckol, inflammatory response

*Corresponding author: Huijie Li, Department of Orthopaedic Surgery, The 3rd Hospital of Hebei Medical University, Shijiazhuang, No. 139, Ziqiang, Qiaoxi District, Shijiazhuang, Hebei, China. Email address: [email protected]

Received 13 January 2025; Accepted 26 February 2025; Available online 1 May 2025

DOI: 10.15586/aei.v53i3.1308

Copyright: Wang W and Li H
License: This open access article is licensed under Creative Commons Attribution 4.0 International (CC BY 4.0). http://creativecommons.org/licenses/by/4.0/

Introduction

Rheumatoid arthritis (RA) is a prevalent inflammatory autoimmune disease that affects various tissues and organs, particularly the synovial membranes and cartilage within the joints.1 It is estimated that approximately 0.75% of the global population suffers from RA, with a notably higher prevalence among females than males.2,3 RA leads to significant destruction of synovial joints and bones, resulting in a substantial decline in the quality of life for elderly individuals. Unfortunately, existing therapeutic strategies for RA face numerous challenges. For example, immunosuppressive and hormone-based medications can induce multiple side effects, including hyperglycemia, delayed wound healing, and potentially life-threatening opportunistic infections. Moreover, macromolecular drugs are often expensive, creating a considerable economic burden on society. As a result, the development of effective chemical medications derived from natural plants holds great promise for improving outcomes for patients with RA.

Dieckol (DEK) is a bioactive phlorotannin derived from brown algae that has garnered significant attention for its health benefits.4 Research has demonstrated that DEK exhibits potent antioxidant, anti-inflammatory, and anti-tumor properties. Kyung-A Byun et al. reported that DEK could ameliorate diet-induced muscle atrophy by inhibiting muscular lipid deposition. Additionally, Shouqiang Zhang et al. found that DEK functions as an antitumor agent for osteosarcoma through the AKT/mTOR signaling pathway. Ziyao Li et al. reported that DEK inhibits inflammatory responses and nociception in animal models.57 While previous studies have primarily focused on the therapeutic potential of DEK in cancer and nonalcoholic fatty liver disease (NAFLD), there is limited knowledge regarding its pharmacological effects on the progression of RA.

Inflammatory cell infiltration and vascular pannus development significantly accelerate the progression of RA and contribute to joint destruction.8 The imbalanced immune response in RA is primarily mediated by cytokine pathways, particularly those involving the interleukin (IL) family, tumor necrosis factor (TNF) family, and interferon (IFN) family. These pathways shape the microenvironment into a pro-inflammatory phenotype.3,9,10 Additionally, excessive inflammation may trigger endothelial cell migration, leading to the formation of neovascular pannus. This neovascularization, in turn, introduces more pro-inflammatory cytokines into the synovial joints, further exacerbating RA. Therefore, targeting the inflammatory response and inhibiting vascular pannus formation are two crucial areas of focus in RA treatment.

Chitinase 3-like protein 1 (CHI3L1) is reported to be involved in multiple pathological processes. Notably, CHI3L1 alleviates post-traumatic osteoarthritis by neutralizing intracellular reactive oxygen species (ROS).11 Oxidative stress is a key biological process in the etiology of RA, where ROS accumulation leads to pro-inflammatory activation.12 Levels of malondialdehyde (MDA), superoxide dismutase (SOD), and glutathione peroxidase (GSH-Px) in serum are commonly used indicators of oxidative stress in vivo. Erythroid-derived 2-like 2 (Nrf2) is a primary cellular regulator of oxidative stress.13 Yang Song et al. first reported the relationship between CHI3L1 and Nrf2, but their specific roles in RA progression remain to be fully elucidated.11

In this study, we elucidated how DEK ameliorates RA progression in CIA rats by inhibiting the inflammatory response, vascular formation, chondrocyte apoptosis, and oxidative stress. On the molecular level, DEK enhances the import of Nrf2 and decreases the expression of CHI3L1 in synovial joints. Furthermore, the overexpression of CHI3L1 via AVV-mediated transfection abrogated the pharmaceutical effect of DEK in vivo. Our findings position DEK as a promising plant-derived candidate for the clinical treatment of RA.

Materials and Methods

Animals and CIA model establishment

Male Wistar rats (8 weeks old; n = 6 per group) were obtained from the Shanghai SLAC Animal Company (Shanghai, China). The rats were maintained under specific pathogen-free (SPF) conditions with continuous access to food and water.14 All animal experiments were approved by Hebei Medical University (Approval No. IACUC-Hebmu-2023061).

CIA rat models were developed following a previously published study.15 Briefly, a 100 μg emulsion containing bovine collagen II (1220-02S, Southern Biotech, USA) and Freund’s complete adjuvant (FCA; F5881, Sigma, USA) was subcutaneously injected around the base of the rat’s tail on days −7 and 0, respectively. The DEK treatment group received intraperitoneal injections of DEK solution three times a week for 21 days. The AAV-CHI3L1 virus was provided by Genomeditech (Shanghai, China). AAV-CHI3L1 virus (50 μL) was intraarticularly injected into the synovial joints to overexpress CHI3L1. In the animal experiments described, different groups of male rats were used to assess the effects of various treatments. In the first experiment (Figure 1), 30 male rats were subdivided into five groups: 1) control group: rats immunized with phosphate-buffered solution (PBS); 2) FCA group: CIA model rats; 3) FCA + DEK (5 mg/kg) group: CIA model rats treated with 5 mg/kg DEK; 4) FCA + DEK (10 mg/kg) group: CIA model rats treated with 10 mg/kg DEK; 5) FCA + DEK (20 mg/kg) group: CIA model rats treated with 20 mg/kg DEK. In the second experiment (Figure 6), 24 male rats were subdivided into four groups: 1) FCA group: CIA model rats; 2) FCA + DEK (20 mg/kg) group: CIA model rats treated with 20 mg/kg DEK; 3) FCA + DEK (20 mg/kg) + AAV-CHI3L1 group: CIA model rats treated with 20 mg/kg DEK and AAV-CHI3L1; 4) FCA + AAV-CHI3L1 group: CIA model rats treated with AAV-CHI3L1 alone. The swelling of the hind paws in the rats was quantified using a Vernier caliper.

Figure 1 DEK ameliorates arthritis progression in CIA rats. (A) The chemical structure of Dieckol. (B) The degree of hind paw swelling was measured by two independent blinded observers. (C) Representative H&E staining of synovial joints in rats. (D) Quantification of paw injury scores based on H&E staining images in (C). ***indicates p < 0.001 compared with the control group. #indicates p < 0.05 and ###indicates p < 0.001 compared with the FCA group.

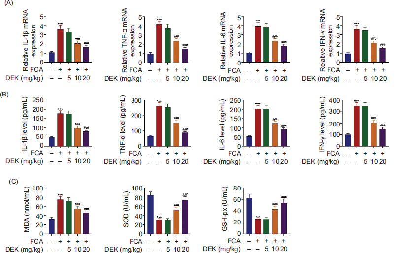
Figure 2 DEK attenuates inflammatory response and oxidative stress in CIA rats. (A) The gene expression of inflammatory factors (IL-1β, TNF-α, IL-6, and IFN-γ) in joint tissues was measured using RT-qPCR. (B) The protein expression levels of inflammatory factors in serum were measured using ELISA. (C) The concentration of oxidative products (MDA) and antioxidant enzymes (SOD and GSH-Px) in serum were quantified. ***indicates p < 0.001 compared with the control group. ###indicates p < 0.001 compared with the FCA group.

Figure 3 DEK inhibits vascular pannus formation in CIA rats. (A) The protein expression of VEGF in joint tissue was determined using immunoblotting. The grayscale value of the band was quantified with ImageJ. (B) Representative immunofluorescent staining of VEGF expression in synovial joints. ***indicates p < 0.001 compared with the control group. ###indicates p < 0.001 compared with the FCA group.

Figure 4 DEK inhibits chondrocyte apoptosis in CIA rats. (A) Representative staining of TUNEL in synovial joints. The ratio of TUNEL+ cells was quantified. (B) The expression of apoptosis-specific proteins (Bax, Bcl-2, and Cleaved-caspase 3) in joint tissue was determined using immunoblotting. The grayscale value of the band was quantified with ImageJ. ***indicates p < 0.001 compared with the control group. ###indicates p < 0.001 compared with the FCA group.

Figure 5 DEK promotes Nrf2 nuclear import and inhibits CHI3L1 expression in CIA rats. (A) The nuclear protein from joint tissues was extracted, and Nrf2 expression was measured using immunoblotting. Lamin B was used as the nuclear protein internal reference. The total protein from joint tissues was extracted, and CHI3L1 expression was measured using immunoblotting. The grayscale value of the band was quantified with ImageJ. (B) Representative immunofluorescent staining of Nrf2 expression in synovial joints. Obvious Nrf2 nuclear translocation was observed in the FCA + DEK (20 mg/kg) group. *indicates p < 0.05 and ***indicates p < 0.001 compared with the control group. ###indicates p < 0.001 compared with the FCA group.

Figure 6 Suppression of arthritis progression by DEK is dependent on CHI3L1. To assess whether CHI3L1 was essential for the suppression of arthritis progression by DEK, CIA rats were treated with DEK (20 mg/kg), local injection of AAV-CHI3L1, or both. (A) The protein expression of inflammatory factors (IL-1β, TNF-α, IL-6, and IFN-γ) in serum was measured using ELISA. (B) The concentration of oxidative products (MDA) and antioxidant enzymes (SOD and GSH-Px) in serum were quantified. (C) Both VEGF and apoptosis-specific protein (Bax, Bcl-2, and Cleaved-caspase 3) expression in joint tissues were determined using immunoblotting. (C1-C4) The grayscale value of the band representing each targeted protein was quantitated with ImageJ. ***indicates p < 0.001 compared with the FCA group. ###indicates p < 0.001 compared with the FCA + DEK (20 mg/kg) group. && indicates p < 0.01 and &&&indicates p < 0.001 compared with the FCA + DEK (20 mg/kg) + AAV-CHI3L1 group.

Hematoxylin-eosin (H&E) and immunofluorescent (IF) staining

After 21 days of treatment, the rats were sacrificed, and their hind paws were collected for histological analysis. The tissue samples were fixed in 4% paraformaldehyde, decalcified, embedded in paraffin, and sectioned into 5-μm-thick slides for H&E and IF staining. Both H&E and IF staining were performed as previously described.16 The following antibodies were used in IF staining: Anti-VEGF Antibody (1:200; sc-7296; Santa Cruz Biotechnology, USA); Anti-Nrf2 Antibody (1:200; sc-365949; Santa Cruz Biotechnology, USA); Alexa Fluor® 594 Conjugated Anti-mouse IgG (1:1000; 8890S; Cell Signaling Technology, USA). Finally, the nuclei were counterstained with 4′,6-diamidino-2-phenylindole (DAPI; D9542; Sigma-Aldrich, USA) for 7.5 min, and images were captured using a fluorescence microscope (Leica, USA).

TdT-mediated dUTP nick-end labeling (TUNEL) staining

A One Step TUNEL Apoptosis Assay Kit (C1089; Beyotime, Shanghai, China) was used for cartilage TUNEL staining, following the manufacturer’s instructions. Subsequently, the nuclei were counterstained with DAPI solution for 7.5 minutes, and images were captured using a fluorescence microscope (Leica, USA). The TUNEL+ chondrocytes were counted.

RNA isolation and real-time quantitative polymerase chain reaction (RT-qPCR)

Following a 21-day treatment period, the rats were sacrificed, and their hind paws were collected for RNA isolation and RT-qPCR analysis. Total RNA was isolated using a commercial RNA Easy Fast isolation kit (DP451; Qiagen, China). Subsequently, cDNA was synthesized using a Takara cDNA synthesis kit (Takara Bio, Tokyo, Japan). RT-qPCR was performed using an ABI 7500 PCR system (Applied Biosystems, USA). All the primer sequences used in the RT-qPCR are listed in Table 1. The PCR data were analyzed using the 2−ΔΔCT method.

Table 1 Primer sequences used in RT-qPCR.

Gene Sequence
IL-1β Forward 5′-AGCAGCTTTCGACAGTGAGG-3′
Reverse 5′-CTCCACGGGCAAGACATAGG-3′
TNF-α Forward 5′-ATGGGCTCCCTCTCATCAGT-3′
Reverse 5′-GCTTGGTGGTTTGCTACGAC-3′
IL-6 Forward 5′-CTCTCCGCAAGAGACTTCCAG-3′
Reverse 5′-TTCTGACAGTGCATCATCGCT-3′
IFN-γ Forward 5′-ATGAGTGCTACACGCCGCGTCTTGG-3’
Reverse 5′-GAGTTCATTGACAGCTTTGTGCTGG -3’

Enzyme-linked immunosorbent assay (ELISA)

Following a treatment period of 21 days, the rats were sacrificed, and serum samples were collected for ELISA assays to evaluate inflammatory cytokine expression. The ELISA assays were performed according to the instructions provided by the manufacturers. The following commercial ELISA assay kits were utilized in this study: Rat IL-1 beta ELISA Kit (ab255730; Abcam, USA); Rat TNF alpha ELISA Kit (ab236712; Abcam, USA); Rat IL-6 ELISA Kit (ab234570; Abcam, USA); Rat IFN gamma ELISA Kit (ab239425; Abcam, USA).

MDA, SOD, and GSH-Px measurement

After 21 days of treatment, the rats were sacrificed, and serum samples were harvested to measure MDA, SOD, and GSH-Px levels for evaluating oxidative stress. A Lipid Peroxidation (MDA) Assay Kit (Colorimetric; ab118970; Abcam, USA), a SOD1 (Rat) ELISA Kit (Colorimetric; E4584-100; Biovision, USA), and a GSH-Px (Rat) ELISA Kit (Colorimetric; E4584-100; BH-R101646; Bohu Biotech, China) were used to evaluate oxidative stress according to the instructions provided by the manufacturers. Finally, a microplate reader (M200, TECAN, USA) was used to detect the absorbance of the samples.

Immunoblotting

After 21 days of treatment, the rats were sacrificed, and total proteins from their hind paws were isolated using 1% SDS lysis buffer (Beyotime, Shanghai, China) along with 1% protease and phosphatase inhibitor cocktail (Pierce, Rockford, USA). Additionally, nuclear proteins from the hind paws were isolated using the Nuclear and Cytoplasmic Protein Extraction Kit (Beyotime, Shanghai, China) to evaluate Nrf2 nuclear translocation. Immunoblotting was performed as previously described.17 Briefly, protein samples were separated on a 10% SDS-PAGE gel, electro-transferred to PVDF membranes, blocked with 5% bovine serum albumin, and then incubated overnight at 4°C with the relevant primary antibodies. The specific primary antibodies used in this study included: VEGFA (1:1000; ab214424; Abcam, USA); GAPDH (1:5000; ab37168; Abcam, USA); cleaved-caspase 3 (1:500; ab2302; Abcam, USA); Bax (1:1000; ab32503; Abcam, USA); Bcl-2 (1:2000; ab182858; Abcam, USA); Nrf2 (1:1500; ab92946; Abcam, USA); Lamin B (1:1000; ab32535; Abcam, USA); CHI3L1 (1:1000; ab77528; Abcam, USA). Following incubation with primary antibodies, the membranes were further incubated with a secondary antibody (1:5000; ab6721; Abcam, USA) at room temperature for 1 hour. The protein signals were detected with enhanced chemiluminescence (Bio-Rad). ImageJ software was used to quantify band density.

Statistics

This study presents data as the mean ± standard deviation (SD), with each assay conducted at least three times. Student’s t-test or one-way analysis of variance (one-way ANOVA) was used to compare results from different groups. A p < 0.05 was considered statistically significant. SPSS 22.0 software (SPSS Inc., Chicago, IL) was used to analyze all data.

Results

DEK ameliorates arthritis progression in CIA rats

The chemical structure of DEK is illustrated in Figure 1A. To elucidate the effect of DEK on arthritis progression in CIA rats, we first established CIA rat models and administered various concentrations of DEK intraperitoneally. As shown in Figure 1B, CIA model rats exhibited significant and persistent paw swelling, as evidenced by an increased paw diameter. Compared to the FCA model group, the administration of DEK resulted in a dose-dependent reduction in paw swelling. Furthermore, H&E staining of the hind paws, conducted 21 days after modeling, demonstrated that DEK treatment significantly ameliorated synovial hyperplasia, cartilage erosion, and inflammatory infiltration in the synovial joints (Figure 1C). Paw injury scores, quantified based on H&E staining images, also showed a dose-dependent decrease (Figure 1D). Collectively, these results indicate that DEK ameliorates arthritis progression in CIA rats.

DEK attenuates inflammatory response and oxidative stress in CIA rats

Overactive inflammatory response and oxidative stress are key factors in the pathogenesis of CIA.18,19 To investigate whether DEK affects the inflammatory response and oxidative stress in CIA rats, we assessed the expression of inflammatory cytokines in both paw tissues and serum. After CIA modeling, the hind paws showed a statistically significant increase in the gene expression of inflammatory cytokines (IL-1β, TNF-α, IL-6, and IFN-γ). However, treatment with DEK markedly reduced their expression (Figure 2A). The variation in inflammatory cytokine levels in the serum was consistent with the mRNA levels in paw tissues, as measured by ELISA (Figure 2B). MDA is a byproduct of lipid oxidation that correlates positively with oxidative stress, while SOD and GSH-Px serve as antioxidant enzymes and correlate negatively with oxidative stress.20 The ELISA results from rat serum indicated that DEK treatment significantly mitigated CIA-induced oxidative stress by reducing MDA levels and enhancing the expression of SOD and GSH-Px (Figure 2C). Collectively, these results indicate that DEK attenuates the inflammatory response and oxidative stress in CIA rats.

DEK inhibits vascular pannus formation in CIA rats

In addition to synovial hyperplasia, the formation of vascular pannus and angiogenesis have been identified as factors associated with the progression of CIA.21 To elucidate the effects of DEK treatment on angiogenesis in CIA rats, we assessed the expression of the major angiogenic factor, VEGFA, in synovial joints. Immunoblotting of joint tissues indicated that CIA modeling significantly promoted VEGFA expression, suggesting an increase in vascular pannus formation in the CIA joints. In contrast, the DEK treatment groups displayed a clear, dose-dependent decrease in VEGFA expression (Figure 3A). Similarly, immunofluorescence staining of VEGFA in the synovial joints corroborated these findings, demonstrating that DEK treatment significantly inhibited VEGFA expression in hyperplastic synovial membranes (Figure 3B). These findings suggest that DEK inhibits vascular pannus formation in CIA rats.

DEK inhibits chondrocyte apoptosis in CIA rats

Cartilage erosion, coupled with severe chondrocyte apoptosis, is a prominent phenotype in end-stage RA patients, causing irreversible joint deformation.22 To further investigate the protective effects of DEK treatment on chondrocyte apoptosis, we utilized TUNEL staining. The results showed that DEK treatment decreased the proportion of TUNEL+ chondrocytes from about 40% in the FCA group to about 15% in the DEK (20 mg/kg) group, indicating a significant reduction in chondrocyte apoptosis (Figure 4A). At the molecular level, DEK treatment significantly attenuated Bax and cleaved-caspase 3 expression but promoted Bcl-2 expression in a dose-dependent manner, as shown by immunoblotting of joint tissue from CIA rats (Figure 4B). These results indicate that DEK inhibits chondrocyte apoptosis in CIA rats.

DEK promotes Nrf2 nuclear import and inhibits CHI3L1 expression in CIA rats

To explore the molecular mechanisms by which DEK ameliorates oxidative stress and the inflammatory response in CIA rats, we initially assessed the nuclear translocation of the antioxidant transcription factor Nrf2 by analyzing its nuclear expression through immunoblotting. Although CIA modeling barely affected nuclear Nrf2 expression, DEK treatment led to a dose-dependent enhancement of Nrf2 nuclear import (Figure 5A). This result was confirmed by IF staining of Nrf2, which demonstrated a significantly greater number of cells displaying colocalization of Nrf2 and DAPI in the DEK (20 mg/kg) treatment group compared to the FCA modeling group (Figure 5B). Additionally, we evaluated CHI3L1, a well-known pro-inflammatory protein.23 As anticipated, DEK treatment significantly inhibited CIA-induced CHI3L1 overexpression in CIA rats. These results suggest that DEK promotes Nrf2 nuclear import and inhibits CHI3L1 expression in CIA rats.

Suppression of arthritis progression by DEK is dependent on CHI3L1

To investigate whether CHI3L1 is indispensable for the suppression of arthritis progression by DEK, we upregulated CHI3L1 expression in the synovial joints of CIA rats via AAV-mediated transfection. The results demonstrated that the inhibition of serum inflammatory cytokines (IL-1β, TNF-α, IL-6, and IFN-γ) and MDA by DEK in CIA rats was reversed by the upregulation of CHI3L1 in the synovial joints (Figure 6A,B). Moreover, the overexpression of CHI3L1 countered the increase in antioxidant enzymes (SOD and GSH-Px) in serum induced by DEK (Figure 6B). Notably, AAV-CHI3L1 alone, without DEK treatment, significantly accelerated arthritis progression in CIA rats by enhancing inflammatory cytokine secretion and oxidative stress. At the molecular level, CHI3L1 overexpression counteracted the inhibitory effects of DEK on angiogenesis and apoptosis, as evidenced by increased VEGFA, Bax, and cleaved-caspase 3 proteins, and decreased Bcl-2 protein (Figure 6C). Consistently, AAV-CHI3L1 alone, without DEK treatment, activated angiogenesis and apoptosis signaling pathways. Collectively, these findings suggest that the suppression of arthritis progression by DEK is dependent on CHI3L1.

Discussion

RA is characterized by several pathological processes, including joint swelling, synovial hyperplasia, vascular pannus formation, inflammatory infiltration, and cartilage erosion.24 Therefore, it is essential to develop a therapeutic agent that simultaneously targets all of these biological processes. In this study, we investigate the pharmaceutical effects of DEK, a plant-derived natural drug, in inhibiting RA progression. In particular, DEK significantly ameliorated synovial inflammation, vascular pannus formation, chondrocyte apoptosis, and oxidative stress by downregulating CHI3L1 expression. Our findings highlight the promising translational potential of DEK as an anti-rheumatic drug.

The CIA model is widely acknowledged for its ability to mimic RA progression in humans.25 While various modeling techniques have been extensively reported, the primary aim across these studies is consistent: to induce an autoimmune reaction in the synovial joints. In our study, we emulsified bovine collagen type II with Freund’s complete adjuvant and administered it subcutaneously twice a week. We observed that our modeling method successfully induced joint swelling and exhibited typical inflammatory changes observed in histological analyses. Furthermore, we recorded a significant increase in serum inflammatory biomarkers and detected vascular pannus formation in our results. However, in contrast to other studies, we only observed enhanced chondrocyte apoptosis in the CIA rats, with no significant cartilage erosion or extracellular cartilage matrix degradation in the histological analysis. We speculate that this may be attributed to the modeling period being too short for cartilage degradation. As a next step, we intend to further optimize the CIA modeling method.

DEK is documented to activate AMP-activated protein kinase (AMPK) and mitogen-activated protein kinase (MAPK) pathways.26,27 In our study, we observed that inhibiting CHI3L1 in synovial tissue is essential for the pharmaceutical action of DEK. Recent studies illustrate that CHI3L1, through its specific receptor, protease-activated receptor 2 (PAR2), regulates intracellular calcium homeostasis and contributes to the activation of downstream AMPK signaling pathways.28 Along with AMPK, AKT and MAPK are also involved in the CHI3L1-associated protection of hepatocytes against hypoxia (27). These findings underscore the significance of CHI3L1 as a key regulator of DEK’s action. Nrf2 is a major antioxidant transcription factor that translocates to the nucleus to drive downstream gene expression.29 In our study, we observed a significant accumulation of reactive oxygen species (ROS) in CIA rats, which led to Nrf2 nuclear translocation. SOD and GSH-Px are well-established target genes regulated by Nrf2-mediated transcription.30,31 Danli Kong et al. reported that resveratrol activates the Nrf2 signaling pathway, enhancing antioxidant capacity in Alzheimer’s disease. Consistent with these findings, our results illustrated that DEK increased SOD and GSH-Px expression in vivo, along with Nrf2 nuclear translocation. In the future, we intend to investigate the therapeutic potential of DEK in other diseases associated with oxidative stress.

Our study has several limitations. Firstly, we did not explore the inhibitory effect of DEK on the proliferation and migration of synovial fibroblasts in greater detail. Secondly, although our findings indicate that DEK effectively inhibits the inflammatory response, the specific downstream target protein of DEK remains unknown. Identifying this target would enhance our understanding of its pharmacological effects.

Conclusion

In summary, we highlighted the therapeutic effect of DEK on RA progression in CIA rats. DEK significantly inhibited the inflammatory response, vascular formation, chondrocyte apoptosis, and oxidative stress by downregulating CHI3L1 expression in synovial joints. Our study provides the first evidence of DEK’s potential as an effective anti-rheumatic agent in mitigating arthritis progression.

Availability of Data and Materials

All data generated or analyzed during this study are included in this published article. The datasets used and/or analyzed during the present study are available from the corresponding author on reasonable request.

Ethics Approval

Ethical approval was obtained from the Ethics Committee of Hebei Medical University (Approval No. IACUC-Hebmu-2023061).

Author Contributions

All authors contributed to the study conception and design. Material preparation and the experiments were performed by WW. Data collection and analysis were performed by HL. The first draft of the manuscript was written by HL and all authors commented on previous versions of the manuscript. All authors read and approved the final manuscript.

Conflicts of Interest

The authors state that there are no conflicts of interest to disclose.

Funding

None.

REFERENCES

1 Song X, Lin Q. Genomics, transcriptomics and proteomics to elucidate the pathogenesis of rheumatoid arthritis. Rheumatol Int. 2017;37(8):1257–65. 10.1007/s00296-017-3732-3

2 Kumar LD, Karthik R, Gayathri N, Sivasudha T. Advancement in contemporary diagnostic and therapeutic approaches for rheumatoid arthritis. Biomed Pharmacother. 2016;79:52–61. 10.1016/j.biopha.2016.02.001

3 Pisetsky DS. Advances in the Treatment of Rheumatoid Arthritis: Costs and Challenges. N C Med J. 2017;78(5):337–40. 10.18043/ncm.78.5.337

4 Rajan DK, Mohan K, Zhang S, Ganesan AR. Dieckol: a brown algal phlorotannin with biological potential. Biomed Pharmacother. 2021;142–111988. 10.1016/j.biopha.2021.111988

5 Byun KA, Oh S, Son M, Oh SE, Park CH, Son KH, et al. Dieckol-Attenuated High-Fat Diet Induced Muscle Atrophy by Modulating Muscular Deposition of Lipid Droplets. Nutrients. 2021;13(9). 10.3390/nu13093160

6 Zhang S, Ren H, Sun H, Cao S. Dieckol exerts anticancer activity in human osteosarcoma (MG-63) cells through the inhibition of PI3K/AKT/mTOR signaling pathway. Saudi J Biol Sci. 2021;28(9):4908–15. 10.1016/j.sjbs.2021.07.019

7 Li Z, Wang Y, Zhao J, Zhang H. Dieckol attenuates the nociception and inflammatory responses in different nociceptive and inflammatory induced mice model. Saudi J Biol Sci. 2021;28(9):4891–9. 10.1016/j.sjbs.2021.06.021

8 Buch MH, Eyre S, McGonagle D. Persistent inflammatory and non-inflammatory mechanisms in refractory rheumatoid arthritis. Nat Rev Rheumatol. 2021;17(1):17–33. 10.1038/s41584-020-00541-7

9 Nerurkar L, Siebert S, McInnes IB, Cavanagh J. Rheumatoid arthritis and depression: an inflammatory perspective. Lancet Psychiatry. 2019;6(2):164–73. 10.1016/S2215-0366(18)30255-4

10 Shen M, Lin B, Qian F, Zhao L, Xi Y, Qian Y. Taxifolin ameliorates sepsis-induced lung capillary leak through inhibiting the JAK/STAT3 pathway. Allergol Immunopathol (Madr). 2022;50(2):7–15. 10.15586/aei.v50i2.550

11 Song Y, Hao D, Jiang H, Huang M, Du Q, Lin Y, et al. Nrf2 Regulates CHI3L1 to Suppress Inflammation and Improve Post-Traumatic Osteoarthritis. J Inflamm Res. 2021;14:4079–88. 10.2147/JIR.S310831

12 Agita A, Alsagaff MT. Inflammation, Immunity, and Hypertension. Acta Med Indones. 2017;49(2):158–65.

13 Xiao QS, Lu R, He CM, Zhou K. Protective effect of USP22 against paraquat-induced lung injury via activation of SIRT1/NRF2 pathway. Signa Vitae. 2021;17(3):187–95.

14 National Research Council Committee for the Update of the Guide for the C, Use of Laboratory A. The National Academies Collection: Reports funded by National Institutes of Health. Guide for the Care and Use of Laboratory Animals. Washington (DC): National Academies Press (US) Copyright © 2011, National Academy of Sciences.; 2011.

15 Wang Q, Xu B, Fan K, Wu J, Wang T. Inflammation suppression by dexamethasone via inhibition of CD147-mediated NF-κB pathway in collagen-induced arthritis rats. Mol Cell Biochem. 2020;473(1-2):63–76. 10.1007/s11010-020-03808-5

16 Yang Y, Lin Y, Wang M, Yuan K, Wang Q, Mu P, et al. Targeting ferroptosis suppresses osteocyte glucolipotoxicity and alleviates diabetic osteoporosis. Bone Res. 2022;10(1):26. 10.1038/s41413-022-00198-w

17 Huang MH, Han Y, Xi QH, Jin YF, Liu YL, Han YW, et al. Exploration on correlation of high DLX2 expression with poor prognosis and cellular proliferation in epithelial ovarian cancers. European Journal of Gynaecological Oncology. 2021;42(3):521–9. 10.31083/j.ejgo.2021.03.2093

18 Chen FH, Wang W, Cai XG, Yu HS, Qu CS, Zhang XJ, et al. Methyl jasmonate reduces the inflammation and apoptosis of HK-2 cells induced by LPS by regulating the NF-kappa B pathway. SIGNA VITAE. 2021;17(3):218–24.

19 Mann S, Sharma A, Sarkar A, Kharb R, Malhotra R, Datta B, et al. Evaluation of Anti-inflammatory Effects of Choerospondias axillaris Fruit’s Methanolic Extract in Synoviocytes and CIA Rat Model. Curr Pharm Biotechnol. 2020;21(7):596–604. 10.2174/1389201021666191210114127

20 Fikry EM, Gad AM, Eid AH, Arab HH. Caffeic acid and ellagic acid ameliorate adjuvant-induced arthritis in rats via targeting inflammatory signals, chitinase-3-like protein-1 and angiogenesis. Biomed Pharmacother. 2019;110:878–86. 10.1016/j.biopha.2018.12.041

21 Xiao C, Lv C, Sun S, Zhao H, Ling H, Li M, et al. TSP1 is the essential domain of SEMA5A involved in pannus formation in rheumatoid arthritis. Rheumatology (Oxford). 2021;60(12):5833–42. 10.1093/rheumatology/keab133

22 Fan KJ, Wu J, Wang QS, Xu BX, Zhao FT, Wang TY. Metformin inhibits inflammation and bone destruction in collagen-induced arthritis in rats. Ann Transl Med. 2020;8(23):1565. 10.21037/atm-20-3042

23 Wang Y, Zhong M, Wang W, Li YH. Chi3l1 regulates APAP-induced liver injury by promoting macrophage infiltration. Eur Rev Med Pharmacol Sci. 2020;24(19):9775.

24 McInnes IB, Schett G. The pathogenesis of rheumatoid arthritis. N Engl J Med. 2011;365(23):2205–19. 10.1056/NEJMra1004965

25 Chen X. Rac1 regulates platelet microparticles formation and rheumatoid arthritis deterioration. Platelets. 2020;31(1):112–9. 10.1080/09537104.2019.1584669

26 Ko SC, Lee M, Lee JH, Lee SH, Lim Y, Jeon YJ. Dieckol, a phlorotannin isolated from a brown seaweed, Ecklonia cava, inhibits adipogenesis through AMP-activated protein kinase (AMPK) activation in 3T3-L1 preadipocytes. Environ Toxicol Pharmacol. 2013;36(3):1253–60. 10.1016/j.etap.2013.10.011

27 Jeon YJ, Kim HS, Song KS, Han HJ, Park SH, Chang W, et al. Protective effect of dieckol against chemical hypoxia-induced cytotoxicity in primary cultured mouse hepatocytes. Drug Chem Toxicol. 2015;38(2):180–7. 10.3109/01480545.2014.928719

28 Kwak SY, Seo IH, Chung I, Kim SA, Lee JO, Lee HJ, et al. Effect of chitinase-3-like protein 1 on glucose metabolism: In vitro skeletal muscle and human genetic association study. Faseb j. 2020;34(10):13445–60. 10.1096/fj.202000925R

29 Tonelli C, Chio IIC, Tuveson DA. Transcriptional Regulation by Nrf2. Antioxid Redox Signal. 2018;29(17):1727–45. 10.1089/ars.2017.7342

30 Liu YQ, Zhang J, Gao LN, Wang HT. [Effects of aerobic exercise on Nrf2-SOD pathway in the gastrocnemius of rats with high-glucose and high-fat diet]. Zhongguo Ying Yong Sheng Li Xue Za Zhi. 2020;36(5):481–5.

31 Zhao L, Qi Y, Xu L, Tao X, Han X, Yin L, et al. MicroRNA-140-5p aggravates doxorubicin-induced cardiotoxicity by promoting myocardial oxidative stress via targeting Nrf2 and Sirt2. Redox Biol. 2018;15:284–96. 10.1016/j.redox.2017.12.013