Download

ORIGINAL ARTICLE

ZBTB16 exerts anti-angiogenic effects in rheumatoid arthritis by regulating HIF-1α pathway

Xueqin Chen*, Yongmei Liu, Jiangli Xia, Xixi Ma, Linwei Hu

Department of Rheumatology and Immunology, The Fourth Affiliated Hospital of Anhui Medical University, Hefei, Anhui, China

Abstract

Background: Rheumatoid arthritis (RA) is one complex chronic autoimmune disease, resulting body pain and badly affect the health of RA patients. Zinc finger and BTB domain containing 16 (ZBTB16) has been reported to participate into many diseases including osteoarthritis and osteoporosis.

Objective: To verify the regulatory functions of ZBTB16 in RA progression keep dimness.

Methods: The mRNA expressions were tested through RT-qPCR. The protein expressions were evaluated through western blot. The pathological changes of synovial tissues were determined through HE staining. The erosion and destruction of bone tissues were examined through safranin-O/fast green staining. The levels of TNF-α, IL-1β, IL-6 and MMP-3 were testified through ELISA. The fluorescence intensity of proteins was assessed through IF assay.

Results: Firstly, it was uncovered that ZBTB16 expression was markedly reduced in the synovium tissues of RA patients through analyzing GSE55235 expression profile by GEO2R online tool. Next, ZBTB16 expression was down-regulated in synovial tissues of RA patients. Moreover, ZBTB16 can alleviate the degree of paw swelling in CIA mice. ZBTB16 improved the pathological changes of synovial tissues in CIA mice. The levels of inflammatory factors and matrix metalloproteinase were increased in CIA mice, but these impacts were reversed after ZBTB16 amplification. ZBTB16 can relieve pannus in CIA mice. Besides, the triggered GRK2/HIF-1α pathway in CIA mice can be retarded after ZBTB16 overexpression.

Conclusion: ZBTB16 exerted anti-angiogenic effects in RA by blocking GRK2/HIF-1α pathway. This work hinted that ZBTB16 may be one useful target for RA treatment.

Key words: GRK2/HIF-1α pathway, rheumatoid arthritis, ZBTB16

*Corresponding author: Xueqin Chen, Department of Rheumatology and Immunology, The Fourth Affiliated Hospital of Anhui Medical University, No. 64 Chaohu North Road, Hefei, Anhui, China. Email address: [email protected]

Received 20 November 2024; Accepted 7 March 2025; Available online 1 July 2025

DOI: 10.15586/aei.v53i4.1270

Copyright: Chen X, et al.
License: This open access article is licensed under Creative Commons Attribution 4.0 International (CC BY 4.0). http://creativecommons.org/licenses/by/4.0/

Introduction

Rheumatoid arthritis (RA) is a chronic autoimmune condition characterized by inflammation in joints throughout the body.1 RA is characterized by joint erosion and synovitis, which can lead to joint deformity and loss of function over time.2 The development of RA involves the formation of pannus, bone damage, and synovial hyperplasia.3 Pannus formation dominates performance in the development of RA.4,5 Biological treatments have been employed in arthritis.6,7 Therefore, looking for available biological targets to modulate pannus formation becomes crucial in the progression of RA.

Zinc finger proteins are the members of the super family of multifunctional transcription factors, and they take part in controlling gene, cell differentiation and embryonic development.8 Member of the Kruppel-like zinc finger protein family, Zinc finger and BTB domain containing 16 (ZBTB16),9 has been identified as dysregulated and implicated in the advancement of various diseases. For instance, in type 2 diabetic mice, ZBTB16 influences Txnip-Trx2 signaling, enhancing susceptibility to atrial fibrillation.10 Additionally, ZBTB16 affects WDHD1 transcription to restrain DNA replication and trigger cell cycle arrest in lung adenocarcinoma.11 Furthermore, the inhibition of ZBTB16 by Tanshinone IIA alleviates pulmonary fibrosis induced by bleomycin.12 Additionally, ZBTB16 is able to enhance the expressions of marker genes associated with osteogenic differentiation in dental follicle cells.13 Moreover, super enhancers targets ZBTB16 to modulate osteogenesis, thereby lesssening osteoporosis.14 ZBTB16 has the ability to inhibit the transcription of GRK2 in osteoarthritis (OA), thereby reducing lipopolysaccharide-induced inflammation and degradation of extracellular matrix in chondrocytes.15 However, the regulatory functions of ZBTB16 and associated molecular mechanisms in RA progression remain vague.

This study was aimed to investigate the regulatory impacts of ZBTB16 as well as the relationship between ZBTB16 and GRK2/HIF-1α pathway in RA progression.

Materials and Methods

Animal model

The male BALB/c mice (n = 24) were bought from Vital River Laboratory Animal Technology Co. Ltd. (Beijing, China). The mice were supplied free water and food, and kept into 12-h light–dark cycle in one humidity/22°C environment. Animal experiments were authorized by the Animal Ethics Committee of Affiliated Chaohu Hospital of Anhui Medical University (Approval No. KYXM-202402-050). Mice were separated into four groups (n = 6 mice in each group): control, collagen-induced arthritis (CIA), CIA+AAV-vector, and CIA+AAV-ZBTB16.

In CIA group, bovine type II collagen (CII; Chondrex, US) was emulsified in an equal volume of complete Freund’s adjuvant (Chondrex).16 Then, 100 μL of emulsion containing 100 μg of CII was injected into the tail of mice. Post 21 days, mice got a booster injection of 100-μg CII emulsified with an equal volume of incomplete Freund’s adjuvant (Chondrex). Next, mice were injected with 50 μL of AAV-vector or AAV-ZBTB16 (purchased from VectorBuilder, Guangzhou, China), virus titer: 2 × 1011 GC/mL via tail vein.

From day 21 to day 56, the degree of paw swelling was scored (once every 7 days). Arthritis was evaluated as follows through the Arthritis Index Scoring System17:

  1. 0, normal;

  2. 1, one joint swelling (wrist/ankle or digit);

  3. 2, >two joints swelling;

  4. 3, all joints swelling;

  5. 4, all joints swelling and ankylosis

The supreme score/paw swelling score was 4, resulting in the supreme score/mouse of 16. On day 56, mice were euthanized through sodium pentobarbital (150 mg/kg, intraperitoneally). Synovial tissues, knee joint, and serum were collected for further experiments. Animal experiments were performed as shown in Figure 1.

Figure 1 Animal experiment diagram. Overview of workflow of animal experiment.

Reverse transcription-quantitative polymerase chain reaction (RT-qPCR)

Ribonucleic acid (RNA) from the synovial tissues of CIA mice was drawn using the Trizol reagent (Thermo Fisher Scientifc, Waltham, MA, US). Complementary DNA (cDNA) was formed using the PrimeScript™ RT Reagent Kit (Takara, Dalian, China). Next, qPCR was performed through the SYBR Green PCR kit (Toyobo, Japan). The relative mRNA expressions were ascertained through the 2−ΔΔCt method.

The primers shown were as follows:

Tumor necrosis factor-α (TNF-α):

  1. forward, 5′-CTGCACTTTGGAGTGATCGG-3′;

  2. reverse, 5′-GCTTGAGGGTTTGCTACAACAT-3′;

Interleukin (IL)-1β:

  1. forward, 5′-GGATATGGAGCAACAACTGG-3′

  2. reverse, 5′-ATGTACCAGTTGGGGAACTG-3′;

Interleukin (IL)-6:

  1. forward, 5′-ACTCACCTCTTCAGAACGAATTG-3′;

  2. reverse, 5′-CCATCTTTGGAAGGTTCAGGTTG-3′;

Matrix metalloproteinase (MMP)-3:

  1. forward, 5′-AGGGATGATGATGCTGGTATG-3′;

  2. reverse, 5′-AACACCACACCTGGGCTTAT-3′;

Glyceraldehyde 3-phosphate dehydrogenase (GAPDH):

  1. forward, 5′-AGTCAGCTCTCTCCTTTCAGG-3′;

  2. reverse, 5′-TCCACCACCCTGTTGCTGTA-3′.

Western blot analysis

The RIPA lysis buffer (Thermo Fisher Scientific) was adopted for extraction of proteins from synovial tissues. Sodium dodecyl sulfate–polyacrylamide gel electrophoresis (SDS-PAGE) 10% was utilized for separating proteins. Next, proteins were shifted to polyvinylidene fluoride (PVDF) membranes (Beyotime, Shanghai, China). After sealing, the primary antibodies: ZBTB16 (1:1000; ab189849; Abcam, Shanghai, China), GRK2 (1:2000, ab308172), HIF-1α (1:1000, ab179483), and β-actin (1 µg/mL, ab8226) were placed on membranes overnight. The secondary antibody (1:1000, ab7090) was further placed for 2 h. Eventually, the chemiluminescence detection kit (Thermo Fisher Scientific) was used for determining protein blots.

Enzyme-linked-immunosorbent serologic assay (ELISA)

TNF-α ELISA kit (ab208348; Abcam, Shanghai, China), IL-1β ELISA kit (ab197742), IL-6 (ab222503), and MMP-3 (ab203363) were utilized for measurements.

Hematoxylin and eosin (H&E) staining

The synovial tissues embedded in paraffin were sliced into 4-µm thick sections. Subsequently, the sections were stainned with hematoxylin for 5 min, followed by staining with eosin for 30 s. Finally, H&E images were taken through light microscope (Olympus, Tokyo, Japan).

Safranin-O/fast green staining

Dewaxing and dehydration procedures were carried out on knee joint sections that were embedded in paraffin. Subsequently, the sections were stained using Safranin-O and fast green (Solarbio Life Sciences, Beijing, China). Lastly, images were taken through light microscope (Olympus).

Immunofluorescence (IF) assay

After retrieval of antigen, synovial tissues were co-incubated with primary antibodies CD31 (1:100, ab222783, Abcam), vascular endothelial growth factor A (VEGFA, 1:250, ab52917), GRK2 (1:500, ab308172), and HIF-1α, 1:100, ab1) for 12 h. Then the secondary antibody was further supplemented. Lastly, IF images were taken through fluorescence microscope (Olympus).

Statistical analysis

The GraphPad Prism software 9.0 (GraphPad Software, La Jolla, CA, US) was used for statistical analysis. Data were presented as mean ± standard deviation (SD). Student’s t-test or one-way analysis of variance (ANOVA) followed by the Tukey’s test was used for comparisons. The data conformed to normal distribution through Shapiro-Wilk test; P < 0.05 was considered as statistically significant.

Results

ZBTB16 expression was cut down in the synovial tissues of RA patients

The utilization of GEO2R online tool (https://www.ncbi.nlm.nih.gov/geo/) for examining the expression profile of GSE55235 (https://www.ncbi.nlm.nih.gov/geo/geo2r/?acc=GSE55235) demonstrated a significant decrease in ZBTB16 expression within the synovial tissues of individuals with RA (Figure 2).

Figure 2 ZBTB16 expression was down-regulated in synovial tissues of RA patients. The ZBTB16 expression was confirmed through analyzing GSE55235 expression profile by GEO2R online tool. ***P < 0.001.

ZBTB16 alleviated paw swelling in CIA mice

The ZBTB16 protein expression was aggrandized in CIA mice, but this change was offset after ZBTB16 overexpression (Figure 3A). Furthermore, the intensity of paw swelling was enhanced in CIA mice, but this effect was reduced after the upregulation of ZBTB16 (Figure 3B), manifesting that ZBTB16 could alleviate paw swelling in CIA mice.

Figure 3 ZBTB16 alleviated paw swelling in CIA mice. Groups were separated into control, CIA, CIA+AAV-vector, and CIA+AAV-ZBTB16 groups. (A) The protein expression of ZBTB16 was inspected through Western blot analysis. (B) The degree of paw swelling was evaluated. ***P < 0.001 versus the control group; $$$P < 0.001 versus the CIA+AAV-vector group.

ZBTB16 lessens pathological changes in synovial tissues

Synovial hyperplasia, mass formation, and inflammatory infiltration occurred in the synovial tissues of CIA mice, but these changes were counteracted after ZBTB16 augmentation (Figure 4A). Furthermore, evidence was presented indicating erosion and destruction in the articular bone and cartilage of CIA mice, with these impacts being mitigated following the overexpression of ZBTB16 (Figure 4B). Collectively, ZBTB16 was found to ameliorate pathological alterations in the synovial tissues of CIA mice.

Figure 4 ZBTB16 lessened the pathological changes of synovial tissues in CIA mice. Groups were separated into control, CIA, CIA+AAV-vector, and CIA+AAV- ZBTB16 groups. (A) Pathological changes of synovial tissues were determined through H&E staining. (B) The erosion and destruction of bone tissues were examined through safranin-O/fast green staining.

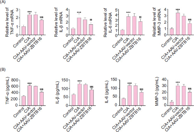
ZBTB16 restrained inflammatory factors and matrix metalloproteinases

The mRNA expressions of TNF-α, IL-1β, IL-6, and MMP-3 were aggrandized in CIA mice, but these impacts were reversed after ZBTB16 amplification (Figure 5A). Using ELISA, similar alterations were detected in the bloodstream concentrations of TNF-α, IL-1β, IL-6, and MMP-3 (Figure 5B). Overall, ZBTB16 inhibited the secretion of inflammatory cytokines and reduced the expression of matrix metalloproteinases.

Figure 5 ZBTB16 suppressed the release of inflammatory factors and the level of matrix metalloproteinases. Groups were separated into control, CIA, CIA+AAV-vector, and CIA+AAV- ZBTB16 groups. (A) The mRNA expressions of TNF-α, IL-1β, IL-6, and MMP-3 were examined through RT-qPCR. (B) The levels of TNF-α, IL-1β, IL-6, and MMP-3 were tested through ELISA. ***P < 0.001 versus the control group; $$P < 0.01, $$$P < 0.001 versus the CIA+AAV-vector group.

ZBTB16 relieved pannus in CIA mice

The IF assay revealed an increase in the fluorescence intensities of CD31 and VEGFA in CIA mice, which were subsequently attenuated following the overexpression of ZBTB16 (Figure 6), indicating that ZBTB16 alleviated pannus formation in CIA mice by modulating the levels of CD31 and VEGFA.

Figure 6 ZBTB16 relieved pannus in CIA mice. Groups were separated into control, CIA, CIA+AAV-vector, and CIA+AAV-ZBTB16 groups. The fluorescence intensity of CD31 or VEGFA was assessed through IF assay.

ZBTB16 affected the GRK2/HIF-1α pathway

The protein expressions of both GRK2 and HIF-1α were up-regulated in CIA mice, but these influences were rescued after ZBTB16 augmentation (Figure 7A). In CIA mice, the fluorescence intensities of GRK2 and HIF-1α were enhanced through IF assay. However, these enhancements were reversed upon ZBTB16 overexpression (Figure 7B). To sum up, ZBTB16 retarded the GRK2/HIF-1α pathway.

Figure 7 ZBTB16 affected the GRK2/HIF-1α pathway. Groups were separated into control, CIA, CIA+AAV-vector, and CIA+AAV-ZBTB16 groups. (A) The protein expressions of GRK2 and HIF-1α were tested through Western blot analysis. ***P < 0.001 versus the control group; $$$P < 0.001 versus the CIA+AAV-vector group. (B) The fluorescence intensity of GRK2 or HIF-1α was detected through IF assay.

Discussion

ZBTB16 is manifested to participate into some diseases, including OA and osteoporosis.1015 However, the exact regulatory functions of ZBTB16 in the progression of RA are still not well understood and require further study. Our research first indicated a significant reduction in ZBTB16 expression in the synovial tissues of RA patients, as determined by analyzing the GSE55235 expression profile with the GEO2R online tool. Additionally, we observed that ZBTB16 could diminish paw swelling in CIA mice and decreased pathological changes in synovial tissues. In CIA mice, the levels of inflammatory factors and matrix metalloproteinase were elevated, but these effects were reversed following ZBTB16 overexpression.

Pannus, an extra tissue growth, mainly comprises newly formed microvessels, inflammatory cells, synovial cells, and fibrous tissue.18 Pannus is capable to produce immunoglobulins and rheumatoid factors, which contribute to inflammation in synovial tissue and promote tissue proliferation. This ultimately leads to the deterioration of tendons, bones, cartilage, and blood vessels.19 Similarly, in this work, we also found that ZBTB16 could alleviate pannus formation in CIA mice.

One type of serine/threonine protein kinase known as GRK2 is involved in various cellular activities, including, but not limited to, cell proliferation, migration, angiogenesis, and inflammation.20 Research has demonstrated that there is an increased level of expression of GRK2 in the synovial tissues of RA patients as well as in the animal models of arthritis. Furthermore, the suppression of GRK2 activity was found to be effective in both preventing and lessening arthritis.2123 Importantly, it was discovered that GRK2 positively regulated HIF-1α expression.24,25 In conditions of inflammation or low oxygen levels, the increased expression of HIF-1 contributed to the formation of new blood vessels through angiogenesis. HIF-1 comprises alpha and beta subunits, with the alpha subunit (HIF-1α) being rapidly degraded under normal oxygen levels but stabilized under hypoxic conditions.26 HIF-1α rapidly translocates to the nucleus to stimulate VEGF expression.27 An intriguing finding demonstrates that ZBTB16 is able to suppress the transcription of GRK2.15 In this work, it was demonstrated that the triggered GRK2/HIF-1α pathway in CIA mice could be retarded after overexpression of ZBTB16.

Arthritis is a general term for multiple types of arthritic diseases and includes ankylosing spondylitis (AS), RA, OA, juvenile idiopathic arthritis (JIA), and gout.28 Many treatments are employed to treat arthritis, such as physical therapy, surgery, pharmacotherapy, and biological therapy (bio-targets, signaling pathways, or immune cells).29,30 Recently, more and more useful bio-targets have been investigated in RA progression.31,32 This study suggested that ZBTB16 could be utilized in the clinical treatment of RA. Based on our findings, ZBTB16 may also exhibit anti-angiogenic effects in lessening other arthritis, such as JIA, OA, AS.

Conclusion

It was first disclosed that ZBTB16 exerted anti-angiogenic effects in RA by blocking GRK2/HIF-1α pathway, although some limitations (lacking more investigations of ZBTB16 on clinical, cell model, and other RA phenotypes) were discovered to this work. In the future, further experiments must be performed to probe the regulatory functions of ZBTB16 in RA progression.

Availability of Data and Materials

All data generated or analyzed during this study are included in the published article. The datasets used and/or analyzed in the present study are available from the corresponding author on reasonable request.

Statement of Informed Consent

Written informed consent was obtained from a legally authorized representative(s) for anonymized patient information published in this article.

Author Contributions

Conceptualization, methodology, and writing: Original drafting was done by Xueqin Chen; formal analysis, resources, and investigation were performed by Yongmei Liu; formal analysis, visualization and data curation were performed by Jiangli Xia; project administration, supervision, and validation were performed by Xixi Ma; validation, supervision, and writing—review & editing were done by Linwei Hu. All authors read and approved the final manuscript.

Conflict of Interest

The authors stated that there was no conflict of interest to disclose.

Funding

None.

REFERENCES

1 Díaz-González F, Hernández-Hernández MV. Rheumatoid arthritis. Med Clin (Barc). 2023;161(12):533–42. 10.1016/j.medcle.2023.07.008

2 Cush JJ. Rheumatoid arthritis: Early diagnosis and treatment. Rheum Dis Clin North Am. 2022;48(2):537–47. 10.1016/j.rdc.2022.02.010

3 Gravallese EM, Firestein GS. Rheumatoid arthritis—Common origins, divergent mechanisms. N Engl J Med. 2023;388(6):529–42. 10.1056/NEJMra2103726

4 Jang S, Kwon EJ, Lee JJ. Rheumatoid arthritis: Pathogenic roles of diverse immune cells. Int J Mol Sci. 2022;23(2):905. 10.3390/ijms23020905

5 Wu G, Liu C, Cao B, Cao Z, Zhai H, Liu B, et al. Connective tissue growth factor-targeting DNA aptamer suppresses pannus formation as diagnostics and therapeutics for rheumatoid arthritis. Front Immunol. 2022;13:934061. 10.3389/fimmu.2022.934061

6 Poddighe D, Romano M, Gattinara M, Gerloni V. Biologics for the treatment of juvenile idiopathic arthritis. Curr Med Chem. 2018;25(42):5860–93. 10.2174/0929867325666180522085716

7 Goodman SM. Rheumatoid arthritis: Perioperative management of biologics and DMARDs. Semin Arthritis Rheum. 2015;44(6):627–32. 10.1016/j.semarthrit.2015.01.008

8 Zhao J, Wen D, Zhang S, Jiang H, Di X. The role of zinc finger proteins in malignant tumors. FASEB J. 2023;37(9):e23157. 10.1096/fj.202300801R

9 Liu TM, Lee EH, Lim B, Shyh-Chang N. Concise review: Balancing stem cell self-renewal and differentiation with PLZF. Stem Cells. 2016;34(2):277–87. 10.1002/stem.2270

10 Wei ZX, Cai XX, Fei YD, Wang Q, Hu XL, Li C, et al. Zbtb16 increases susceptibility of atrial fibrillation in type 2 diabetic mice via Txnip-Trx2 signaling. Cell Mol Life Sci. 2024;81(1):88. 10.1007/s00018-024-05125-2

11 Wang K, Guo D, Yan T, Sun S, Wang Y, Zheng H, et al. ZBTB16 inhibits DNA replication and induces cell cycle arrest by targeting WDHD1 transcription in lung adenocarcinoma. Oncogene. 2024;43(23):1796–810. 10.1038/s41388-024-03041-0

12 Zhang H, Qiu J, Zhao Q, Zhang Y, Zheng H, Dou Z, et al. Tanshinone IIA alleviates bleomycin-induced pulmonary fibrosis by inhibiting Zbtb16. Pulm Pharmacol Ther. 2024;84:102285. 10.1016/j.pupt.2024.102285

13 Felthaus O, Gosau M, Morsczeck C. ZBTB16 induces osteogenic differentiation marker genes in dental follicle cells independent from RUNX2. J Periodontol. 2014;85(5):e144–51. 10.1902/jop.2013.130445

14 Yu W, Xie Z, Li J, Lin J, Su Z, Che Y, et al. Super enhancers targeting ZBTB16 in osteogenesis protect against osteoporosis. Bone Res. 2023;11(1):30. 10.1038/s41413-023-00267-8

15 Xiong B, Chen L, Huang Y, Lu G, Chen C, Nong J, et al. ZBTB16 eases lipopolysaccharide-elicited inflammation, apoptosis and degradation of extracellular matrix in chondrocytes during osteoarthritis by suppressing GRK2 transcription. Exp Ther Med. 2023;25(6):276. 10.3892/etm.2023.11975

16 Ding H, Mei X, Li L, Fang P, Guo T, Zhao J. RUNX1 ameliorates rheumatoid arthritis progression through epigenetic inhibition of LRRC15. Mol Cells. 2023;46(4):231–44. 10.14348/molcells.2023.2136

17 Bevaart L, Vervoordeldonk MJ, Tak PP. Collagen-induced arthritis in mice. Methods Mol Biol. 2010;602:181–92. 10.1007/978-1-60761-058-8_11

18 Joyce AA, Williams JN, Shi J, Mandell JC, Isaac Z, Ermann J. Atlanto-axial pannus in patients with and without rheumatoid arthritis. J Rheumatol. 2019;46(11):1431–7. 10.3899/jrheum.181429

19 Yang J, Xiong J, Sun Y, Gu L, Chen Y, Guo Y, et al. B7-H3 promotes angiogenesis in rheumatoid arthritis. Mol Immunol. 2024;165:19–27. 10.1016/j.molimm.2023.12.002

20 Kuai J, Han C, Wei W. Potential regulatory roles of GRK2 in endothelial cell activity and pathological angiogenesis. Front Immunol. 2021;12:698424. 10.3389/fimmu.2021.698424

21 Yang X, Zhao Y, Wei Q, Zhu X, Wang L, Zhang W, et al. GRK2 inhibits Flt-1(+) macrophage infiltration and its proangiogenic properties in rheumatoid arthritis. Acta Pharm Sin B. 2024;14(1):241–55. 10.1016/j.apsb.2023.09.013

22 Guo P, Jiang J, Chu R, He F, Ge M, Fang R, et al. GRK2-mediated degradation of SAV1 initiates hyperplasia of fibroblast-like synoviocytes in rheumatoid arthritis. Acta Pharm Sin B. 2024;14(3):1222–40. 10.1016/j.apsb.2023.12.007

23 Tao J, Jiang C, Guo P, Chen H, Zhu Z, Su T, et al. A novel GRK2 inhibitor alleviates experimental arthritis through restraining Th17 cell differentiation. Biomed Pharmacother. 2023;157:113997. 10.1016/j.biopha.2022.113997

24 Hong Z, Tie Q, Zhang L. Targeted inhibition of the GRK2/HIF-1α pathway is an effective strategy to alleviate synovial hypoxia and inflammation. Int Immunopharmacol. 2022;113(Pt A):109271. 10.1016/j.intimp.2022.109271

25 Hong Z, Zhang X, Zhang T, Hu L, Liu R, Wang P, et al. The ROS/GRK2/HIF-1α/NLRP3 pathway mediates pyroptosis of fibroblast-like synoviocytes and the regulation of monomer derivatives of paeoniflorin. Oxid Med Cell Longev. 2022;2022:4566851. 10.1155/2022/4566851

26 Zhao Y, Xing C, Deng Y, Ye C, Peng H. HIF-1α signaling: Essential roles in tumorigenesis and implications in targeted therapies. Genes Dis. 2024;11(1):234–51. 10.1016/j.gendis.2023.02.039

27 Sato T, Takeda N. The roles of HIF-1α signaling in cardiovascular diseases. J Cardiol. 2023;81(2):202–8. 10.1016/j.jjcc.2022.09.002

28 Zeng L, Yang T, Yang K, Yu G, Li J, Xiang W, et al. Efficacy and safety of curcumin and Curcuma longa extract in the treatment of arthritis: A systematic review and meta-analysis of randomized controlled trial. Front Immunol. 2022;13:891822. 10.3389/fimmu.2022.891822

29 Pavlov-Dolijanovic S, Bogojevic M, Nozica-Radulovic T, Radunovic G, Mujovic N. Elderly-onset rheumatoid arthritis: Characteristics and treatment options. Medicina (Kaunas). 2023;59(10):1878. 10.3390/medicina59101878

30 Evans CH, Ghivizzani SC, Robbins PD. The 2024 OREF clinical research award: Progress toward a gene therapy for arthritis. J Am Acad Orthop Surg. 2024;32(23):1052–60. 10.5435/JAAOS-D-24-00831

31 Wallace BI, Cooney L, Fox DA. New molecular targets in the treatment of rheumatoid arthritis. Curr Opin Rheumatol. 2024;36(3):235–40. 10.1097/BOR.0000000000001000

32 Huang J, Fu X, Chen X, Li Z, Huang Y, Liang C. Promising therapeutic targets for treatment of rheumatoid arthritis. Front Immunol. 2021;12:686155. 10.3389/fimmu.2021.686155