Download

ORIGINAL ARTICLE

Association between the correct use of intranasal aerosols and symptom improvement in allergic rhinitis

Gabriela Galindo Rodríguez, Karen Patricia Chávez Jiménez, Sandra Nora González Díaz, Carlos Macouzet Sánchez, Cindy Elizabeth de Lira Quezada*

Regional Center for Allergy and Clinical Immunology, University Hospital “Dr. José Eleuterio González” Universidad Autónoma de Nuevo León, Monterrey, Nuevo León, Mexico

Abstract

Objective: Allergic rhinitis (AR) is highly prevalent worldwide. Good patient adherence ensures successful treatment. This study aimed to identify the association between the intranasal aerosol technique and symptom improvement.

Methods: This is an analytical, prospective, and longitudinal study that included 36 patients diagnosed with AR. The Rhinitis Control Assessment Test (RCAT) questionnaire was administered to both an experimental population and a control group. The 11 steps of the intranasal aerosol technique were explained to the experimental group, and performance was graded using a pamphlet for patient follow-up in subsequent controls.

Results: Of the participants, 63.9% were women and 36.1% were men, with a median age of 30 years (IQR 24-42) and an age range from 18 to 69 years. An average RCAT percentage of 55.6% was observed in both groups during the first consultation. On the second visit, a difference in disease control was noted. In the experimental group, 83.3% had controlled symptoms, whereas only 61.1% of the control group did. At the third visit, 76.5% of the experimental group had controlled symptoms, compared to 58.8% of the control group. In the experimental group, 52.9% of patients demonstrated good technique, while only 5.9% in the control group did (p=0.004).

Conclusions: Patient education and training, compared to an untrained group, benefit the patient by aiding in the remission of symptoms and improving quality of life.

Key words: Aerosols; allergic rhinitis; education; follow-up; intranasal

*Corresponding author: Cindy Elizabeth de Lira Quezada, Regional Center for Allergy and Clinical Immunology, University Hospital “Dr. José Eleuterio González” Universidad Autónoma de Nuevo León, Monterrey, Nuevo León, Mexico. Email address: [email protected]

Received 28 August 2024; Accepted 1 October 2024; Available online 1 January 2025

DOI: 10.15586/aei.v53i1.1200

Copyright: Rodríguez GG, et al.
This open access article is licensed under Creative Commons Attribution 4.0 International (CC BY 4.0). http://creativecommons.org/licenses/by/4.0/

Introduction

Allergic rhinitis (AR) is an inflammatory disease of the nasal mucosa caused by a hypersensitivity response mediated by sensitized immunoglobulin E (IgE) to aeroallergens.13 Typical allergens include house dust mites, pollen from weeds, grass, and trees, dander from animals such as cats, dogs, and horses, and environmental fungi. However, these allergens can vary from region to region depending on the location of the inhabitants.4 Environmental factors such as tobacco smoke, pollution, infections, and diet, acting on a genetic background, contribute to the development of AR. Sensitization can occur through the nose, where there is local production of IgE, even without evidence of systemic sensitization.5

AR affects between 10% and 40% of the population,6 with the highest prevalence occurring in childhood and adolescence. Due to its prevalence, impact on quality of life, economic burden, and association with asthma, it can be considered a major respiratory disease.7 The Allergy in America study found that persistent symptoms were more common than seasonal symptoms, and nasal obstruction was the most bothersome symptom for patients.8 Rhinitis affects both physical and psychological well-being; when the disease is not controlled, sleep quality is reduced, impacting concentration, attendance, and school performance.9 Due to a reduced quality of life of up to 20%, most patients change their allergy medication at least annually or more frequently because of a perceived lack of effectiveness or duration of action.8

AR is a nasal eosinophilic inflammation initiated by IgE sensitization to seasonal or perennial aeroallergens.10,11 IgE binds to a high-affinity receptor (FcεRI), resulting in sensitization of circulating basophils. Cross-linking of allergen-specific IgE (FcεRI) to the allergen on surface effector cells triggers Type I allergic responses. Effector molecules such as histamine, proteases, chemokines, and cytokines are released, leading to symptoms associated with allergic disease.13,14 During the sensitization phase of AR, IgE binding to various allergens on mast cells causes cross-linking, followed by the release of preformed mediators.15

The diagnosis of AR is made through a medical history that includes rhinoscopy and an examination of the throat, eyes, ears, and chest. Additionally, it is supported by specific allergy tests, such as skin prick testing, blood analysis, and nasal cytology.16

Treatment success depends on the patient’s long-term adherence. Failure to achieve relief from topical nasal sprays is often attributed to poor knowledge of proper administration.6 Topical intranasal sprays are effective in patients with allergic rhinitis, rhinosinusitis, and nasal polyposis. They act on the nasal mucosa, and most available devices are effective with a daily dose.17,18 The nasal cavity has a large absorption area and abundant blood vessels, making it an advantageous route for rapid drug absorption.19

The 11-step aerosol checklist technique improves patients’ symptoms and aids in proper treatment adherence.21 The technique includes individualized education and training on the correct use of the spray prescribed by a doctor, accompanied by an illustrated pamphlet in Spanish. This technique takes no more than 10 minutes and helps improve both patient compliance and symptoms.21

There are difficulties in achieving complete remission in affected patients, which is why a new approach to care is necessary.22 Control is achieved when treatment goals are met, and symptoms are minimized through close follow-up and education.23,24 The Rhinitis Control Assessment Test (RCAT) is a self-administered questionnaire that has been validated and translated into Spanish.25

Despite the importance of patient education, there are few studies on the association between intranasal aerosol techniques and improvements in patient quality of life. Additionally, there are few protocols with clear instructions for use. Depending on the technique, intranasal aerosol application affects the remission of symptoms and quality of life. This finding has been demonstrated in both observational and experimental studies.2629

Therefore, this study aimed to identify the association between the intranasal aerosol technique and symptom improvement in patients with allergic rhinitis.

Material and Methods

This analytical, experimental, prospective, and longitudinal study included 36 patients of both sexes, over 18 years of age, diagnosed with allergic rhinitis through skin testing. Subjects were assigned by computer randomization, forming two groups: an experimental group and a control group.

The RCAT was administered to all patients during the first consultation. The RCAT is a self-administered questionnaire with a 5-point Likert-type scale that evaluates symptom control in patients with rhinitis. It consists of 6 items, covering several categories: frequency of nasal congestion, sneezing, watery eyes, sleep interruption, limitation of activity due to symptoms, and a self-assessment of symptom control. The RCAT has a score range of 6-30 points. A higher score indicates better rhinitis control (>21 is good, and <21 is poor).

During the consultation, patients in the experimental group with poor rhinitis control were taught the 11 steps of the correct technique for using the intranasal aerosol. They were also shown an educational leaflet outlining the correct inhaler technique and the steps to follow (to be completed in 5 minutes).

The control group also included subjects with poorly controlled rhinitis (according to the RCAT), but they were only instructed during the consultation to apply the intranasal spray.

All patients were followed up at 2, 4, and 6 months, and the RCAT was administered at each visit. The correct aerosol application technique steps were also evaluated using a checklist. Each correct step was assigned 1 point, and each incorrect step was assigned 0. The maximum score was 11. A score greater than 9 points was considered good, 7-8 points moderate, and less than 6 points poor.

Continuous variables, such as age, RCAT score, and the intranasal aerosol technique steps, were reported using descriptive statistics. Categorical variables were reported as frequencies.

The Kolmogorov-Smirnov test was performed to check the normal distribution of the data. The χ2 test compared the explanation method (oral or visual) and the appropriate technique, with scores of 9 to 11 considered appropriate and scores below 9 considered inappropriate. The χ2 test also compared the explanation method with the RCAT score. A score greater than 21 indicated good control of allergic rhinitis, and a score below 21 indicated poor control. Additionally, significant statistical differences were sought between sex and the RCAT score. Pearson’s correlation was performed to determine the correlation between the intranasal aerosol technique score and age.

The statistical analysis was performed using SPSS version 24. A p-value < 0.05 was considered significant.

Results

A follow-up was conducted on 36 patients diagnosed with allergic rhinitis who had poor control of the disease. Each group (experimental and control) consisted of 18 patients with similar demographic characteristics (Table 1). All patients were included in the final analysis; of these, 63.9% were women and 36.1% were men, with a median age of 30 years (IQR 24-42) and an age range of 18 to 69. All subjects were literate, and the highest level of education was a post-graduate degree. No significant statistical differences were found. The experimental group had a third quartile slightly higher than the control group; however, their range was smaller (18–69 and 19–55, respectively).

Table 1 Demographic and clinical characteristics of the study population (1st follow-up visit).

Variables Global Group p
Experimental Control
Gender, female n(%) 23(63.9%) 11(61.1%) 12(66.7%) 0.729
Gender, male n(%) 13(36.1%) 7(38.9%) 6(33.3%o) 0.729
Age 30(24-42) 30(24-46) 30(25-41) 0.963
RCAT, control n(%) 20(55.6%) 10(55.6%) 10(55.6%) 1.000
Technique, n(%) 0.005
  Good 0(0%) 0(0%) 0(0%) 0.005
  Moderate 13(36.1%) 11(61.1%) 2(11.1%) 0.003
  Poor 23(63.9%) 7(38.9%) 16(88.9%) 0.004
Steps suggested by WHO, n(%)
  Blow nose 5(13.9%) 3(16.7%) 2(11.1%) 1.000
  Tilt head down 6(16.7%) 5(27.8%) 1(5.6%) 0.177
  Shake Spray 11(30.6%) 9(50%) 2(11.1%) 0.027
  Insert the tip into the nostril 36(100%) 18(100%) 18(100%) a
  Close the other nostril and mouth 15(41.7%) 11(61.1%) 4(22.2%) 0.041
  Spray by squeezing the vial 35(97.2%) 18(100%) 17(94.4%) 1.000
  Remove the tip and tilt your head 34(94.4%) 17(94.4%) 17(94.4%) 1.000
  Sit for a few seconds 2(5.6%) 2(11.1%) 0(0%) 0.486
  Breathe through your mouth 5(13.9%) 4(22.2%) 1(5.6%) 0.338
  Repeat in the other nostril 30(83.3%) 13(72.2%) 17(94.4%) 0.177
  Cleans the tip and repeat 9(25%) 7(38.9%) 2(11.1%) 0.121

aCould not be calculated by constant values.

At the first follow-up visit, two months after the initial intervention, both groups had rhinitis symptom control of 55.6%, according to the RCAT. None of the patients demonstrated proper technique in the use of intranasal aerosols. The majority had poor technique (63.9%), regardless of the group, and those who correctly used the intranasal sprays showed a moderate technique (61.1%), in contrast to those who were only instructed to use the device (11.1%).

Of the 11 steps for the correct use of intranasal aerosols, the most frequently performed steps were “spraying by squeezing the vial” (97.2%) and “withdrawing the tip and tilting the head” (94.4%), without considering the step of “inserting the tip into the nostril,” which was performed by 100%. These steps were also the most commonly performed in both the experimental and control groups (100% and 94.4%, respectively).

The steps that were performed the least were “blowing the nose” (13.9%) and “sitting for a few seconds” (5.6%). Similarly, these steps were performed less frequently in the experimental group (16.7% and 11.1%, respectively). In the control group, in addition to “sitting for a few seconds,” the step performed the least was “tilting the head down” (5.6%).

On the second visit, a difference in disease control was observed, with 83.3% of the experimental group having their symptoms controlled, compared to only 61.1% in the control group (p=0.264). Regarding the intranasal aerosol administration technique, 22.2% of the experimental group demonstrated good technique, while 5.6% showed poor technique. In the control group, no one demonstrated good technique, and poor technique prevailed (77.8%, p<0.001).

Some variables stand out for their complete compliance. These include “Insert tip into a nostril,” “Spray by squeezing the vial,” “Remove tip and tilt head,” and “Repeat in the other nostril.” Most patients followed key steps, such as “Spray by squeezing the vial” (97.1%) and “Repeat in the other nostril” (97.1%). However, there was a discrepancy in the execution of other steps, such as “Sit for a few seconds” (11.1%), “Breathe through your mouth” (33.3%), and “Clean the tip and repeat” (55.6%).

In those who were taught the correct use of intranasal devices, 76.5% showed adequate control of their symptoms, compared to the control group, which had a lower percentage (58.8%) (p=0.465).

In the experimental group, 52.9% of patients demonstrated good technique, compared to only 5.9% in the control group (p=0.004). It was also observed that 64.7% of those who were not taught the proper technique had poor technique, while only 17.6% of those who were taught had poor technique.

When using the Friedman test to evaluate the variations over time in the results of the intranasal aerosol technique, a p-value of 0.121 was obtained for the control group and 0.003 for the experimental group. Additionally, the post hoc analysis of the untrained group showed p-values slightly above 0.05 when comparing the second period to the first (0.052) and the last period to the first (0.055). In contrast, the third period had a higher p-value (0.625). When comparing the results of the first intervention to those of the second and third, p-values of 0.003 and 0.006 were obtained for the experimental group, respectively. A comparison of the last two consultations yielded a p-value of 0.225 (Table 2).

Table 2 Demographic and clinical characteristics of the study population (last follow-up consultation).

Variables Global Group p
Experimental Control
RCAT, control n(%) 23(67.6%) 13(76.5%) 10(58.8%) 0.465
Technique, n(%) 0.004
  Good 10(29.4%) 9(52.9%) 1 (5.9%) 0.715
  Moderate 10(29.4%) 5(29.4%) 5(29.4%) 1.000
  Poor 14(41.2%) 3(17.6%) 11(64.7%) 0.774
Steps suggested by WHO, n(%)
  Blow nose 18(52.9%) 14(82.4%) 4(23.5%) 0.002
  Tilt head down 13(38.2%) 10(58.8%) 3(17.6%) 0.032
  Shake Spray 18(52.9%) 13(76.5%) 5(29.4%) 0.015
  Insert the tip into the nostril 34(100%) 17(100%) 17(100%) a
  Close the other nostril and mouth 20(58.8%) 13(76.5%) 7(41.2%) 0.080
  Spray by squeezing the vial 33(97.1%) 17(100%) 16(94.1%) 1.000
  Remove the tip and tilt your head 32(94.1%) 17(100%) 15(88.2%) 0.485
  Sit for a few seconds 2(5.9%) 2(11.8%) 0(0%) 0.485
  Breathe through your mouth 15(44.1%) 12(70.6%) 3(17.6%) 0.005
  Repeat in the other nostril 33(97.1%) 16(94.1%) 17(100%) 1.000
  Cleans the tip and repeat 15(44.1%) 9(52.9%) 6(35.3%) 0.300

aCould not be calculated by constant values.

When Cochran’s Q test was used to analyze fluctuations over time in patients’ rhinitis control, the p-value was 0.779 for the control group and 0.097 for the experimental group. Furthermore, post hoc analysis of the untrained group revealed that the p-value between the three periods was 1.

When comparing the results obtained in the first intervention with those of the second and third in the experimental group, p-values of 0.125 and 0.289 were obtained, respectively. The comparison between the last two interventions showed a p-value of 1 (Figures 1–3).

Figure 1 Box Plot illustrating the age distribution of patients who achieved symptom control (colored boxes) and those who did not (white boxes), categorized by the number of consultations evaluated: the first control consultation (green), the second (orange), and the third (blue). The results for the experimental group (B) are shown on the left, while those for the control group (A) are displayed on the right.

Figure 2 Box plot showing the distribution of the number of steps performed correctly by patients who achieved symptom controls (colored boxes) and those who did not (white boxes), categorized by the number of consultations evaluated: the first control consultation (green), the second (orange), and the third (blue). The results for the experimental group (B) are presented on the left, while those for the control group (A) are shown on the right.

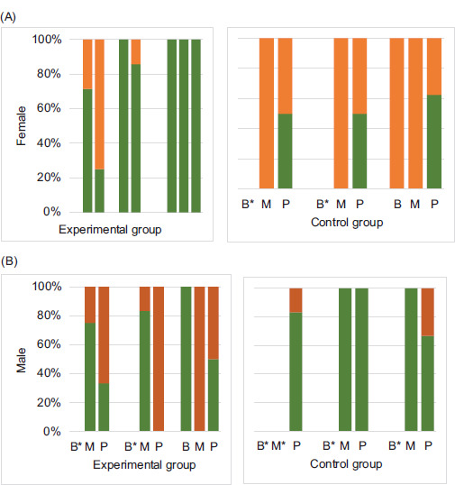
Figure 3 Stacked column chart depicting disease control based on the quality of the intranasal aerosol application technique, measured during the first control consultation (1st), second consultation (2nd), and third consultation (3rd). The results are presented separately for women (A) and men (B). Each column shows the percentage of patients with good control (green) and poor control (orange). The quality of the technique is categorized as good (B), moderate (M), and poor (P), with letters categorized as asterisk indicating that no patient showed the specified quality of technique. Results for the experimental group (B) are shown on the left, and those for the control group (A) are shown on the right.

Discussion

As the number of training sessions increased, a simultaneous rise was observed in the percentage of patients with the disease under control and in those with an adequate technique for administering intranasal aerosols. The exception to this trend occurred in the last consultation, where the percentage of participants with controlled symptoms decreased from 83.3% in the second consultation to 76.5%. The p-values between these two variables became progressively closer to 0.05 as the number of explanations increased (p=0.145, p=0.055, and p=0.036). Statistical significance was reached only in the last consultation, but not in the control group (p=0.183, p=1.000, and p=0.464). These results suggest that a good technique for applying intranasal aerosols positively affects symptom improvement.

No significant statistical difference was found between groups when comparing the percentages of patients with controlled allergic rhinitis (p=1.000, p=0.264, and p=0.465) for the different measurements taken during the study period. When evaluating symptoms over time, improvement was evident in the experimental group (p=0.097), unlike the control group, where no significant improvement was observed (p=0.779). However, none of the values obtained reached a p < 0.05. These results suggest that the training provided improved symptoms, but not enough to achieve statistical significance, possibly due to the sample size.

In the three study periods, the comparison of percentages for the type of intranasal device application technique between the two groups was statistically significant (p=0.005, p<0.001, and p=0.004). When comparing the number of correct steps in the application technique over time, there was an improvement in the technique (p=0.003) in the experimental group, but not in the control group (p=0.121). This finding suggests that the intervention effectively improved the skill in using intranasal aerosols.

By the third visit, the percentage of patients with poor technique increased to 17.6% in the experimental group. This represents a significant increase compared to the second visit, where this percentage was only 5.6%.

When comparing the three consultations of the participants who were not continuously educated, it can be seen that the minimum number of steps performed correctly varied slightly, with the lowest number in the first consultation and the highest in the last. However, the median remained constant at 5, indicating stability in the central number of steps performed correctly.

According to the order of the periods studied in the experimental group, the median was 7 (IQR: 3-8) in the first period. In the following period, the median increased to 8 (IQR: 7-9), highlighting an improvement in the execution of steps. In the final period, the median was 9 (IQR: 7-10), suggesting continuous improvement in the execution of steps, as 50% of the data fell between 7 and 10 steps performed correctly. These data highlight the variability in the number of steps performed correctly across the three consultations in the experimental group and show a trend toward increased execution of steps as the study progressed.

In the global evaluation, independent of the groups, it was observed that although the minimum and maximum values varied, the median remained at 7 in the last two consultations. In the trained group, the minimum number of steps performed correctly ranged from 3 to 4, while the maximum number ranged from 9 to 10 across the three consultations. The median number of steps performed correctly also increased from 7 in the first consultation to 9 in the third, indicating an upward trend in execution. On the other hand, in the control group, the minimum and maximum values remained relatively stable across the three consultations, with a minimum range of 2 to 3 and a maximum range of 7 to 9.

No patient correctly completed all 11 steps of the application technique in any of the study periods. At the last visit, only 8.8% of the participants completed 10 steps adequately. The percentage of people who completed all the steps in similar studies with robust sample sizes was 4% in a study conducted in Thailand29 and 6% in one by Rollema et al.30 These percentages were similar to those reported by De Boer et al., where the participants were health professionals. Only 3% completed all the administration steps.31

A study conducted at the University of Pokhara in Nepal used the WHO checklist. The researchers found an average of 4.31 ± 1.62 before the intervention and 9.84 ± 1.69 after the intervention (p<0.001). Their compliance percentages with each step varied more, possibly because their sample was older, with an age range of 18–35 years.32

Gender appears to be associated with symptom control, particularly among those who received training. This finding was evident in the last consultation, where 100% of women with allergic rhinitis had their symptoms under control, compared to only 42.8% of men (p=0.015). In the control group, only 45.4% of women and 83.3% of men (p=0.304) had their symptoms under control. On the other hand, no significant association was found between gender and the execution of the technique (p=0.238). This finding could be due to the sample size.

In this study, age was not associated with disease control (p=0.102); however, the p-value progressively decreased as the study progressed. The technique was also not associated with age (p=0.858).

Conclusion

The comparison of the values suggests that the experimental group showed progressive improvement in the execution of steps across the three consultations, while the control group demonstrated stability in execution. These results may indicate the effectiveness of the training provided to the experimental group.

The findings suggest that the training provided had a positive effect on symptomatology. However, it did not reach statistical significance when analyzed over time, possibly due to the limited sample size. Therefore, it should be replicated in the future with a larger sample to obtain more accurate information about the relationship between clinical improvement and the technique used. Optimizing the nasal spray application technique and the subsequent clinical improvement could motivate patients to continue using the medication, thereby increasing their treatment adherence.

Authors Contribution

All authors contributed equally to this article.

Conflict of Interest

The authors declare no conflict of interest.

Funding

None.

REFERENCES

1 Scadding GK, Durham SR, Mirakian R, et al. BSACI Guidelines for the treatment of allergic and non-allergic Rhinitis. Clin Exp Allergy. 2008; 38:19–42. 10.1111/j.1365-2222.2007.02888.x

2 Bousquet J, Khaltaev N, Cruz AA, Denburg J, Fokkens WJ, Togias A, Zuberbier T, Baena-Cagnani CE, Canonica GW, Van Weel C, Agache I. Allergic rhinitis and its impact on asthma (ARIA) 2008. Allergy. 2008 Apr;63:8–160. 10.1111/j.1398-9995.2008.01642.x

3 Aït-Khaled N, Pearce N, Anderson HR, Ellwood P, Montefort S, Shah J; ISAAC Phase Three Study Group. Global map of the prevalence of symptoms of rhinoconjunctivitis in children: The International Study of Asthma and Allergies in Childhood (ISAAC) Phase Three. Allergy. 2009;64(1):123–48. 10.1111/j.1398-9995.2008.01884.x

4 Bjorksten B, Clayton T, Ellwood P, et al. Worldwide Temporal Trends for Rhinitis and Conjunctivitis Symptoms: Phase III of the International Study of Asthma and Allergies in Childhood. Pediatric Allergy Immunol. 2008; 19:110–24. 10.1111/j.1399-3038.2007.00601.x

5 Keil T, Bockelbrink A, Reich A, et al. The Natural History of Allergy Rhinitis in Childhood. Pediatric Allergy Immunol. 2010; 21:962–69. 10.1111/j.1399-3038.2010.01046.x

6 Levin ME. Allergic rhinitis education. Curr Allergy Clin Immunol. 2014; 27(2), 101–106.

7 Corbett M, Garry S, Mc Gloughlin E, Hinchion K, Keogh, I. Treating rhinitis with topical nasal sprays: patient knowledge, use and satisfaction. Ir Med J. 2020; 113(8):154–57.

8 Meltzer EO, Blaiss MS, Naclerio RM, Stoloff SW, Derebery MJ, Nelson HS, Boyle JM, Wingertzahn MA. Burden of allergic rhinitis: allergies in America, Latin America, and Asia-Pacific adult surveys. Allergy Asthma Proc. 2012;33 Suppl 1: S113–41. 10.2500/aap.2012.33.3603

9 Roberts G, Mylonopoulou M, Hurley C, et al. Impaired quality of life is directly related to the level of allergen exposure and allergic airway inflammation. Clin Exp Allergy. 2005;35:1295–300. 10.1111/j.1365-2222.2005.02333.x

10 Greiner AN, Hellings PW, Rotiroti G, Scadding GK. Allergic rhinitis. Lancet. 2011; 378:2112–22. 10.1016/S0140-6736(11)60130-X

11 Takhar P, Smurthwaite L, Coker HA, et al. Allergen drives class switching to IgE in the nasal mucosa in allergic rhinitis. J Immunol. 2005; 174:5024–32. 10.4049/jimmunol.174.8.5024

12 Altıntoprak N, Kar M, Bayar Muluk N, Oktemer T, Ipci K, Birdane L, et al. Update on local allergic rhinitis. Int J Pediatr Otorhinolaryngol. 2016; 87:105–9. 10.1016/j.ijporl.2016.06.008

13 Gould HJ, Sutton BJ, Beavil AJ, Beavil RL, McCloskey N, Coker HA, et al. The biology of IGE and the basis of allergic disease. Ann Rev Immunol. 2003; 21:579–628. 10.1146/annurev.immunol.21.120601.141103

14 Gould HJ, Sutton BJ. IgE in allergy and asthma today. Nat Rev Immunol. 2008; 8:205–17. 10.1038/nri2273

15 Vazquez D, Onetti CI, Moreno P, et al. Treatment of allergic rhinitis in adults in Argentina. Update document. Archives of Allergy and Clinical Immunology. 2021, 52(Suppl 1), 7–36.

16 Vance G, Lloyd K, Scadding G, et al. The “unified airway”: the RCPCH care pathway for children with Asthma and/or Rhinitis. Acordis Child. 2011;96 (Suppl 2): i10–14. 10.1136/adc.2011.213462

17 Benninger MS, Ahmad N, Marple BF. The Safety of intranasal steroids. Otolaryngol Head Neck Surg. 2003;129(6):739–50. 10.1016/j.otohns.2003.10.001

18 Erskine SE, Verkerk MM, Notley C, Williamson IG, Philpott CM. Chronic rhinosinusitis: experiences of primary and secondary care patients: a qualitative study. Clin Otolaryngol. 2016; 41:8–14. 10.1111/coa.12462

19 Kublik H, Vidgren MT. Nasal delivery systems and their effect on deposition and absorption. Adv Drug Delivery Rev. 1998; 29:157–177. 10.1016/S0169-409X(97)00067-7

20 Del Cuvillo A. Adaptation to Spanish and validation of the Rhinitis Control Assessment test questionnaire. J Investig Allergol Clin Immunol. 2020; 30(3):175–181 10.18176/jiaci.0420

21 Nathan RA. The rhinitis control evaluation test: implications for the present and future. Curr Opin Allergy Clin Immunol. 2014;14:13–9. 10.1097/ACI.0000000000000020

22 Demoly P, Calderón MA, Casale T, Scadding G, Annesi-Maesano I, Brown J, et al. Evaluation of disease control in allergic rhinitis. Clin Transl Allergy. 2013; 3:7. 10.1186/2045-7022-3-7

23 Hellings PW, Fokkens WJ, Akdis C, Bachert C, Cingi C, Dietz de Loos D, et al. Uncontrolled allergic rhinitis and chronic rhinosinusitis: where are we? this day? Allergy. 2013; 68:1–7. 10.1111/all.12040

24 Nathan RA, Dalal AA, Stanford RH, Meltzer E, Schatz M, Derebery J, et al. Qualitative development of the Rhinitis Control Assessment Test (RCAT), an instrument to assess the control of rhinitis symptoms. Patient 2010; 3:91–9. 10.2165/11318410-000000000-00000

25 Ganesh V, Banigo A, McMurran AEL, Shakeel M, Ram B. Does the intranasal steroid spray technique effect side effects and compliance? Results of a patient survey. J Laryngol Otol. 2017; 131:991–96. 10.1017/S0022215117002080

26 Rollema C, van Roon EM, Schilder AGM, et. to the. Evaluation of instructions in patient information leaflets for the use of intranasal corticosteroid aerosols: an observational study. BMJ Open. 2019; 9:e026710. 10.1136/bmjopen-2018-026710

27 Binita, KC, Khan, GM and Shrestha, N. Nasal spray technique among patients attending the outpatient department of a tertiary care hospital, Gandaki province, Nepal. Integrated Pharmacy Research and Practice. 2020; 9:155. 10.2147/IPRP.S266191

28 Rattanawong, S., Wongwattana, P., & Kantukiti, S. Evaluation of the techniques and steps of the administration of intranasal corticosteroid aerosols. Asia Pacific Allergy. 2022; 12(1). 10.5415/apallergy.2022.12.e7

29 Pathak, RK. Educating Patient regarding the use of INCS technique for allergic rhinitis: an intervention study. Int J Pharm Clin Res. 2021;13(1):26–35

30 Rollema, C., van Roon, EN, de Vries, TW Inadequate quality of administration of intranasal corticosteroid sprays. J Asthma Allergy. 2019; 91–94. 10.2147/JAA.S189523

31 de Boer, M., Rollema, C., van Roon, E., & de Vries, T. Observational study of administering intranasal steroid sprays by healthcare workers. BMJ Open. 2020; 10(8):e037660. 10.1136/bmjopen-2020-037660

32 Kc B, Khan GM, Shrestha N. Nasal spray use technique among patients attending the out-patient department of a tertiary Care Hospital, Gandaki Province, Nepal. Integrated Pharmacy Research and Practice. 2020; 155–60. 10.2147/IPRP.S266191